Предмет: Математика, автор: vladn3703

прочитай неравенство и найди множество его целых решений. Сделай чертеж.​

Приложения:

Ответы

Автор ответа: levpankratov
1

Ответ: вроде так

Пошаговое объяснение:

Приложения:
Автор ответа: parus77
1

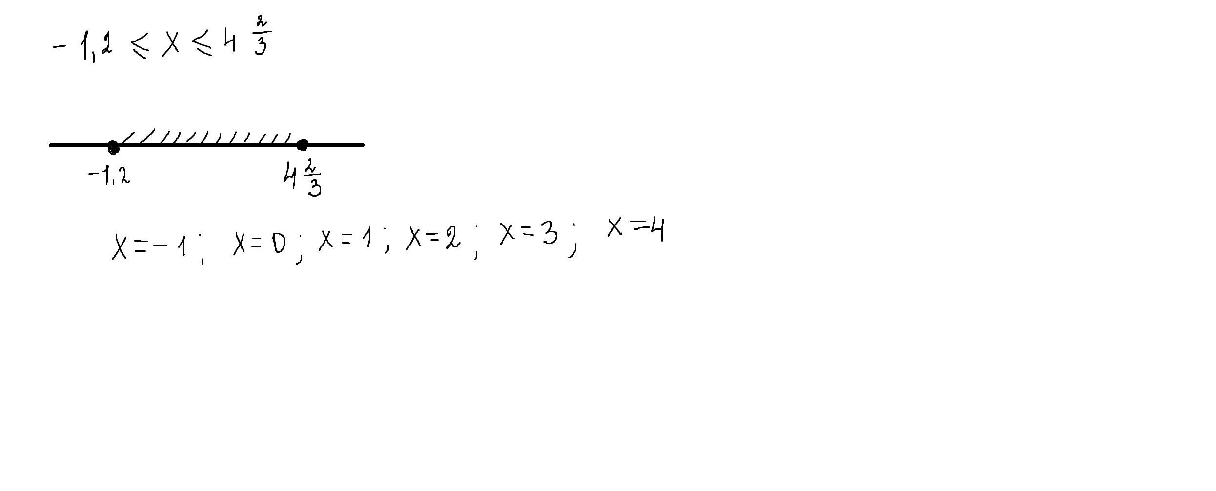
Ответ:

х=-1;0;1;2;3;4

Пошаговое объяснение:

рисунок внизу

Приложения:
Похожие вопросы
Предмет: Русский язык, автор: Аноним
озаглавьте текст. Сформулируйте его тему и основную мысль.Разделите текст на абзацы.Составьте план.
Я заметил, что пингвины идут с пляжа молча. Оказывается, они держат в клювах камушки. Если уронит пингвин камушек на землю, то обязательно остановится и
поднимет его. Бывает и так: другому пингвину этот камушек покажется лучше. Он свой выбрасывает и хватает чужой. Начинается драка за камушек, и достаётся он самому сильному. Пингвинам камушки нужны не играть, а чтобы гнёзда строить. Ведь остров их весь каменный, ни одной травинки не растёт. Поэтому пингвины строят гнёзда из камушков. Пингвиниха сидит на гнезде и со всех сторон камушки под себя подгребает. А рядом стоит пингвин, посматривает кругом – караулит. Пингвин зазевается, сосед его камень схватит и положит к себе в гнездо. Из-за этого пингвины всегда кричат и дерутся – отнимают друг у друга камушки. Зарание благодарю. Пожалуйстаа!! Мне тетрадь здавать завтра, пожалуйста помогите!