Предмет: Алгебра,
автор: rumittu
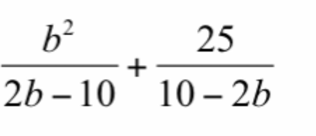
Помогите решить плиз
Приложения:
Ответы
Автор ответа:
1
ответ должен быть более 20 символов
Приложения:
Автор ответа:
1
это не точно, но у меня получилось так
Приложения:
Похожие вопросы
Предмет: Русский язык,
автор: DVZX
Предмет: Русский язык,
автор: немчинова
Предмет: Английский язык,
автор: milyakova92
Предмет: Математика,
автор: arinaval