Предмет: Алгебра,
автор: aliev030708
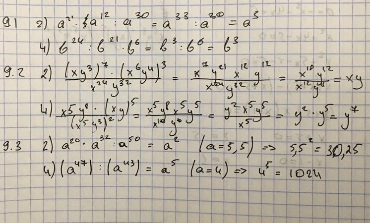
в номерах только чётные например 2,4
Приложения:
aliev030708:
помогите
пожалуйста
Ответы
Автор ответа:
0
Я дико извиняюсь за свою писанину, надеюсь поймёте...
Приложения:
Похожие вопросы
Предмет: Другие предметы,
автор: aliev007
Предмет: Английский язык,
автор: alekseyi2511
Предмет: Українська література,
автор: Леночка134
Предмет: Математика,
автор: степан85
Предмет: Математика,
автор: kristina4564