Предмет: Математика,
автор: Аноним
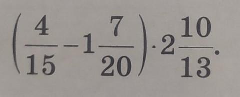
решите пжжжжжжжжжжжжж срочно
Приложения:
Ответы
Автор ответа:
0
Ответ:
-3
---------------
---------------
Приложения:
Автор ответа:
1
Ответ:
Вот так. Просто закачай калькулятор для дробей
Приложения:
Похожие вопросы
Предмет: Русский язык,
автор: nastyabat
Предмет: Қазақ тiлi,
автор: svetik201011
Предмет: Русский язык,
автор: зайчик1софик
Предмет: Математика,
автор: Uliana209
Предмет: Математика,
автор: vikakotik13579