Предмет: Алгебра, автор: neeformall515

Упростите выражения:

Приложения:

Ответы

Автор ответа: kisineevaalbina
0

Ответ:

из кубического корня 64 выходит 4

Автор ответа: Universalka
1

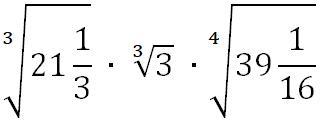
1)\sqrt[3]{21\frac{1}{3}}*\sqrt[3]{3}*\sqrt[4]{39\frac{1}{16}}=\sqrt[3]{\frac{64}{3}*3}*\sqrt[4]{\frac{625}{16}}=\sqrt[3]{4^{3}}*\sqrt[4]{(\frac{5}{2})^{4}}=4*\frac{5}{2} =10\\\\2)(\frac{1}{\sqrt[6]{a}-\sqrt[6]{b}}-\frac{1}{\sqrt[6]{a}+\sqrt[6]{b}})*(\sqrt[3]{a}-\sqrt[3]{b})=\frac{\sqrt[6]{a}+\sqrt[6]{b}-\sqrt[6]{a}+\sqrt[6]{b}}{(\sqrt[6]{a}-\sqrt[6]{b})(\sqrt[6]{a}+\sqrt[6]{b})} *(\sqrt[3]{a}-\sqrt[3]{b})=

=\frac{2\sqrt[6]{b}}{(\sqrt[6]{a})^{2}-(\sqrt[6]{b})^{2}}*(\sqrt[3]{a}-\sqrt[3]{b})=\frac{2\sqrt[6]{b}*(\sqrt[3]{a}-\sqrt[3]{b})}{\sqrt[3]{a}-\sqrt[3]{b}}=2\sqrt[6]{b}\\\\3)\frac{\sqrt[4]{48}}{\sqrt[4]{3}}*\sqrt[3]{-3\frac{3}{8}} :\frac{\sqrt[3]{-216}} {\sqrt[10]{1024}}=\sqrt[4]{\frac{48}{3}}*\sqrt[3]{-\frac{27}{8}}*\frac{\sqrt[10]{2^{10}}}{\sqrt[3]{(-6)^{3}}}=\\\\=\sqrt[4]{16}*\sqrt[3]{(-\frac{3}{2})^{3}}*\frac{10}{(-6)}=2*(-\frac{3}{2})*(-\frac{5}{3})=5

Похожие вопросы
Предмет: Русский язык, автор: iprucakov