Предмет: Математика,
автор: Ajak02
Запишите в тетерадь по возможности начиная с седьмого пожалуйста
Приложения:
Ajak02:
Пжжжж срлчно
Ответы
Автор ответа:
1
Ответ:
Пошаговое объяснение:
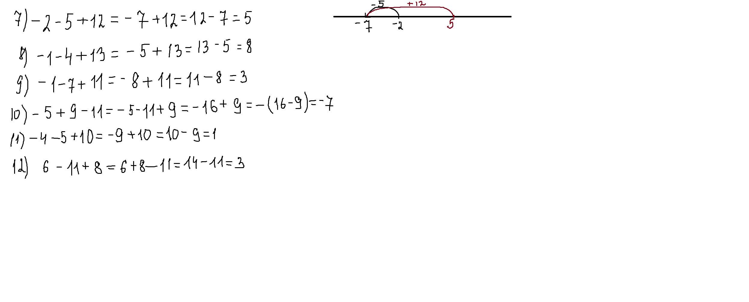
просто решение я написала
а для себя начерти прямую,отметь на ней точку 0,справа -положительные числа,слева-отрицательные,и выполняй действия на ней.Если перед числом стоит знак "-" то двигаемся по прямой влево,на нужное кол-во клеточек,если знак "+",то вправо.
Приложения:
Похожие вопросы
Предмет: Другие предметы,
автор: Настёна111111
Предмет: Другие предметы,
автор: elzaerop
Предмет: Қазақ тiлi,
автор: kame119
Предмет: Математика,
автор: misa0231as0231