Предмет: Алгебра,
автор: tolenov28
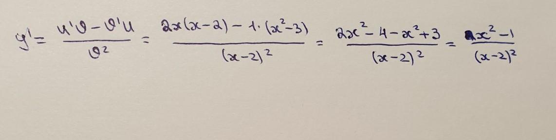
помогите 1 курс универа надо найти производную
Приложения:
Ответы
Автор ответа:
0
Ответ:
решение на фотографии
Приложения:
Похожие вопросы
Предмет: Русский язык,
автор: Аноним
Предмет: Русский язык,
автор: iukgdf
Предмет: Русский язык,
автор: Sterben69
Предмет: Математика,
автор: dukto5555
Предмет: История,
автор: Школа565656