Предмет: Математика,
автор: karjaymagjan
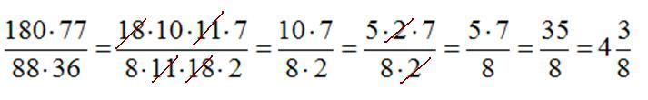
Сократи дробь, ответ запиши в виде смешанного числа.
Приложения:
Ответы
Автор ответа:
1
Сократить дробь - это значит разделить числитель и знаменатель дроби на такие одинаковые числа, чтобы дробь стала несократимой.
Поэтому:
Приложения:
Похожие вопросы
Предмет: Русский язык,
автор: temasnovikov
Предмет: Русский язык,
автор: sobirovafariza
Предмет: Другие предметы,
автор: ghjrbyf2014
Предмет: Алгебра,
автор: Vladonka123
Предмет: Математика,
автор: bustedan