Предмет: Алгебра,
автор: hhghgu
Алгебра жб пжжж да те за 1 мин нудно
Приложения:
Aligamespecial:
Фото-Маз тебе в помощь
Ответы
Автор ответа:
0
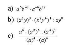
Вот ответ на фотке......
Приложения:
Похожие вопросы
Предмет: Русский язык,
автор: 55Suraya55
Предмет: Русский язык,
автор: timyrxakimov2004
Предмет: Русский язык,
автор: 112211500
Предмет: Биология,
автор: HaRdBlede
Предмет: Биология,
автор: NikAlenka2004