Предмет: Алгебра,
автор: Damir0525
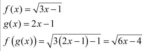
Найти f(g(x)), если известны функции f(x) и g(x)
Приложения:
Ответы
Автор ответа:
2
Ответ:
Объяснение:
////////////////////////////////////////////
Приложения:
Damir0525:
Можете мне еще помочь? Я прикрепил вопросы в профиле
Можете мне помочь
Здравствуйте. Нужно еще раз найти f(g(x)). Вопрос в профиле
Похожие вопросы
Предмет: Английский язык,
автор: belka0327
Предмет: Қазақ тiлi,
автор: klepp16
Предмет: Русский язык,
автор: 8051
Предмет: Математика,
автор: СашаФилимонова1005
Предмет: Алгебра,
автор: uliana3447