Предмет: Алгебра,
автор: mxmol
дам 20 баллов помогите...
1)Введите иррациональные числа
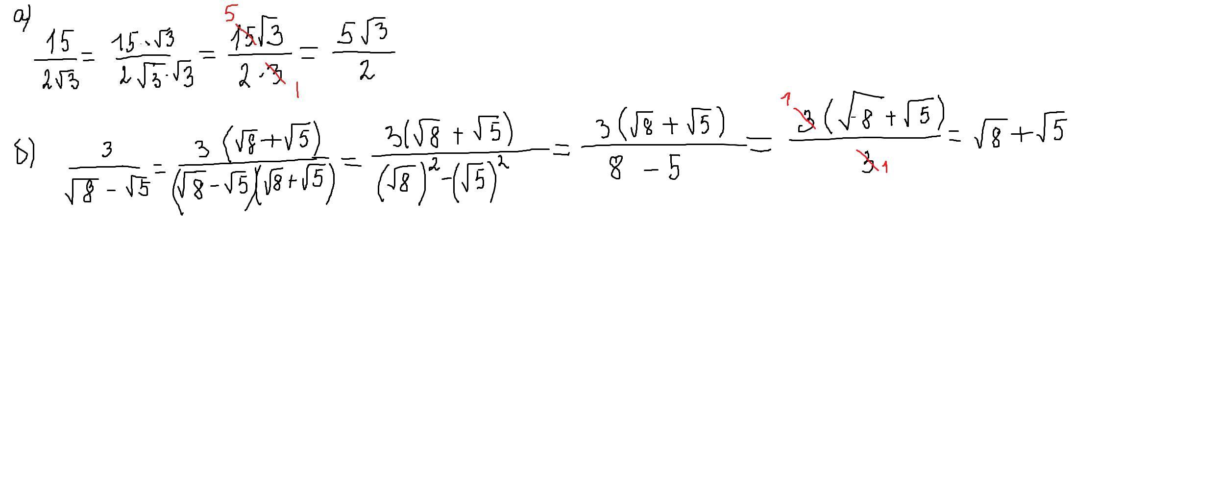
3)Избавьтесь от иррациональности в разделе детали
Приложения:
Ответы
Автор ответа:
1
Ответ:
Объяснение:
1.
√17 2√2 π 4,(7)
Приложения:
это правильно?
????????
??!!!!!!!!
Похожие вопросы
Предмет: Английский язык,
автор: алисааааааааааа
Предмет: Русский язык,
автор: karishaa11
Предмет: Русский язык,
автор: Feodor189
Предмет: Математика,
автор: Griha2281
-------
√8-√5