Предмет: Алгебра,
автор: alua2020
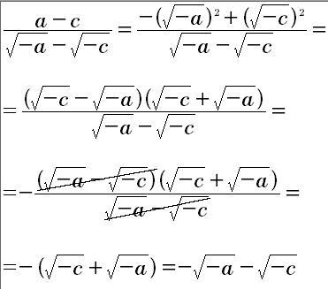
избавьтесь от иррациональности в знаменателе дроби:
Приложения:
Ответы
Автор ответа:
1
Ответ:
Объяснение:
..............................................
Приложения:
madinaa830:
Здравствуйте, не могли бы вы помочь мне с алгеброй?
Похожие вопросы
Предмет: Русский язык,
автор: Cheyz11
Предмет: Английский язык,
автор: KairovRuzil
Предмет: Английский язык,
автор: danik1330
Предмет: ОБЖ,
автор: FoxyWays
Предмет: Математика,
автор: dzamidzami51