Предмет: Алгебра,
автор: vladgujjvan0
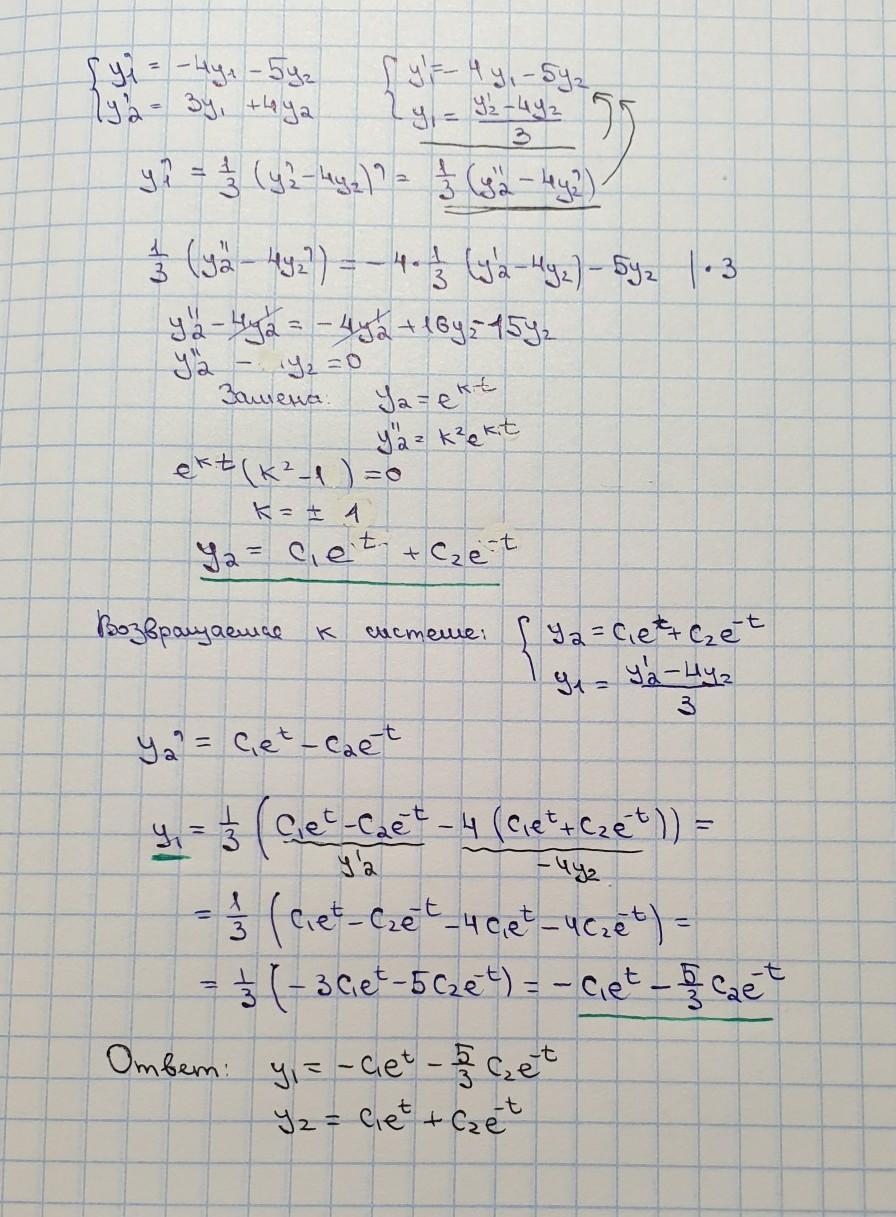
Решите пожалуйста, даю 80 баллов. Найти общее решение дифференциального уравнения. Не через калькулятор и как можно подробнее.
Приложения:
Ответы
Автор ответа:
1
Ответ:
решение на фотографии
Приложения:
Похожие вопросы
Предмет: Алгебра,
автор: ришат116
Предмет: Русский язык,
автор: Turdumametova
Предмет: Другие предметы,
автор: oksanamatsievsk
Предмет: Литература,
автор: Mmm123456
Предмет: Математика,
автор: Аноним