Предмет: Алгебра,
автор: Аноним
ПОМОГИТЕ ПОЖАЛУЙСТА
Приложения:
Ответы
Автор ответа:
1
Ответ: 2 7/9.
Объяснение:
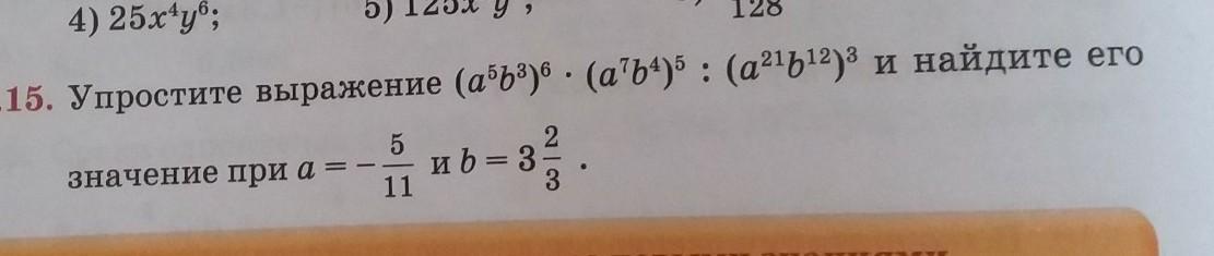
а³⁰*в¹⁸ *а³⁵*в²⁰ : а⁶³*в³⁶.
а⁶⁵⁻⁶³ *в³⁸⁻³⁶=а²*в².
(-5/11)²*( 11/3)²=25/121*121/9=25/9=2 7/9.
Похожие вопросы
Предмет: Русский язык,
автор: Братан38rus
Предмет: Українська література,
автор: ddzubazo101
Предмет: Другие предметы,
автор: zhrakhimova
Предмет: Литература,
автор: КристинаБырса
Предмет: Литература,
автор: Dimarik708