Предмет: Математика,
автор: romanmoiseev01
13.19 решить, дается 30 балов
Приложения:
Ответы
Автор ответа:
0
Ответ:
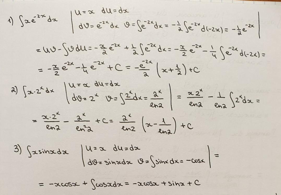
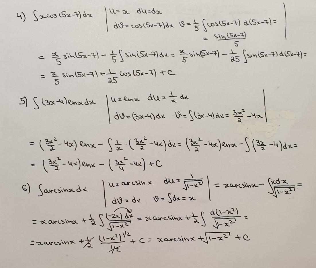
решение на фотографиях
Приложения:
Похожие вопросы
Предмет: Русский язык,
автор: azaliya1202
Предмет: Русский язык,
автор: mak159818
Предмет: Русский язык,
автор: Алеся1020304050
Предмет: Алгебра,
автор: лолита76
Предмет: Информатика,
автор: MrPredator2003