Предмет: Математика,
автор: Alexsej123
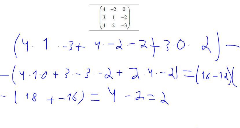
Посчитать определитель матрицы по правилу треугольника.
Приложения:
Ответы
Автор ответа:
0
Ответ:
2
-54
Пошаговое объяснение:
на картинке
Приложения:
Похожие вопросы
Предмет: Другие предметы,
автор: karinasalogubo
Предмет: Английский язык,
автор: losiajik13
Предмет: Русский язык,
автор: tanjatanja263
Предмет: История,
автор: Usopp7