Предмет: Математика,
автор: Аноним
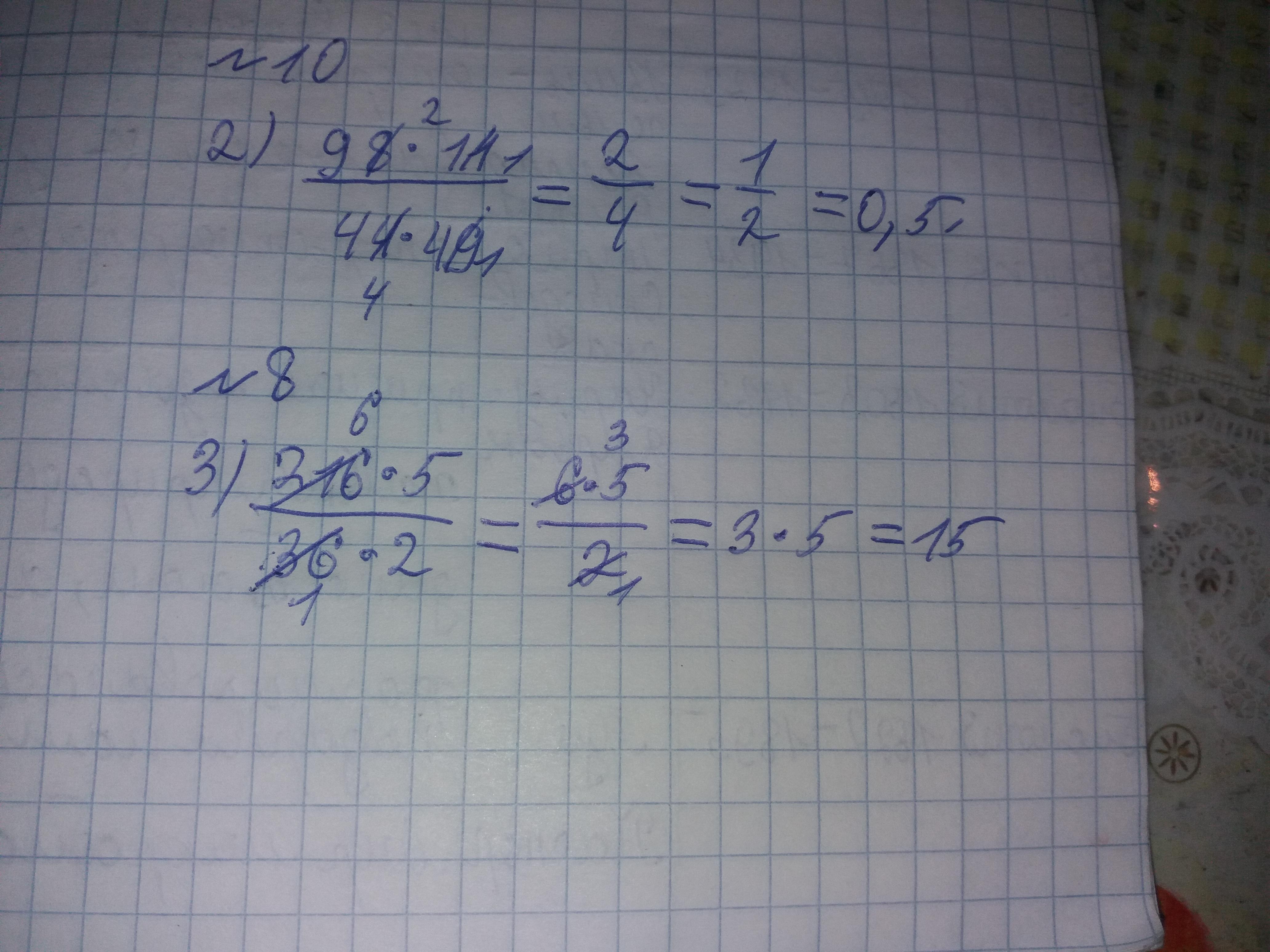
хелп. Нужно сократить дроби
Приложения:
Ответы
Автор ответа:
1
Я сократил все эти дроби ✔
⭐отметьте пожалуйста лучшим ⭐
Приложения:
wwwfedorsolovev96:
Я сейчас пере решаю на отдельном листочек и добавлю,хорошо?
Все,я исправит все то,что вы просили,там на 3 листе смотрите....
Так всё верно?
Похожие вопросы
Предмет: Английский язык,
автор: школьникотбога1212
Предмет: Русский язык,
автор: indirasalakhet1
Предмет: Другие предметы,
автор: ilyuxa0497
Предмет: Математика,
автор: alina2007aowa8c5
Предмет: Математика,
автор: родо1