Предмет: Алгебра, автор: goldgangplay2020

СРОЧНО!!!СРОЧНО!!! СРОЧНО!!!
АЛГЕБРА ПОЖАЛУЙСТА ПОМОГИТЕ!!!! СРОЧНО!!!​

Приложения:

Ответы

Автор ответа: lizapanzova2005
1

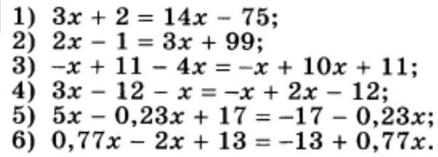
Ответ:

1)\;\;3x+2 = 14x-75\\\\-11x = -77\\\\x = 7\\\\\\2)\;\;2x-1 = 3x+99\\\\x = -100\\\\\\3)\;\;-x+11-4x = -x+10x+11\\\\-14x = 0\\\\x = 0\\\\\\4)\;\;3x-12-x = -x+2x-12\\\\x = 0\\\\\\5)\;\;5x-0.23x+17 = -17-0.23x\\\\5x = -34\\\\x = -6.8\\\\\\6)\;\;0.77x-2x+13 = -13+0.77x\\\\-2x = -26\\\\x = 13


goldgangplay2020: чел, ты лучший :)
lizapanzova2005: :)
Автор ответа: nataliy1234
1

Ответы и решения уравнений во вложении

- 0 = 0 (разницы между ними нет)

Приложения:
Похожие вопросы
Предмет: Русский язык, автор: suxahebaz