Предмет: Алгебра,
автор: 000634487
помогите пожалуйста
Приложения:
Ответы
Автор ответа:
1
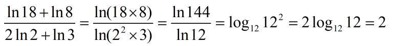
Ответ:
Объяснение:
/////////////////////////////////////////////////////
Приложения:
Похожие вопросы
Предмет: Русский язык,
автор: zipфывфыв
Предмет: Русский язык,
автор: rfvibkby
Предмет: Другие предметы,
автор: ekaterinkaschi
Предмет: Математика,
автор: Васильва
Предмет: Химия,
автор: alexandra17171