Предмет: Алгебра,
автор: qwertjyhy5
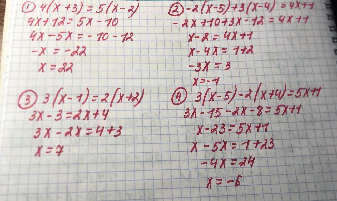
4(x+3)=5(x-2)
-2(x-5)+3(x-4)=4x+1
3(x-1)=2(x+2)
3(x-5)-2(x+4)=5x+1
пж
Ответы
Автор ответа:
0
Данный ответ представлен фотографией.
Приложения:
qwertjyhy5:
у тебя 4 неправильно остальные норм
зделай 4 пж правильно
Похожие вопросы
Предмет: Английский язык,
автор: mashaodinokova
Предмет: Русский язык,
автор: Наташка1999Наташечка
Предмет: Русский язык,
автор: flag2
Предмет: Литература,
автор: ainurasafarova