Предмет: Математика,
автор: sonyaboom200812
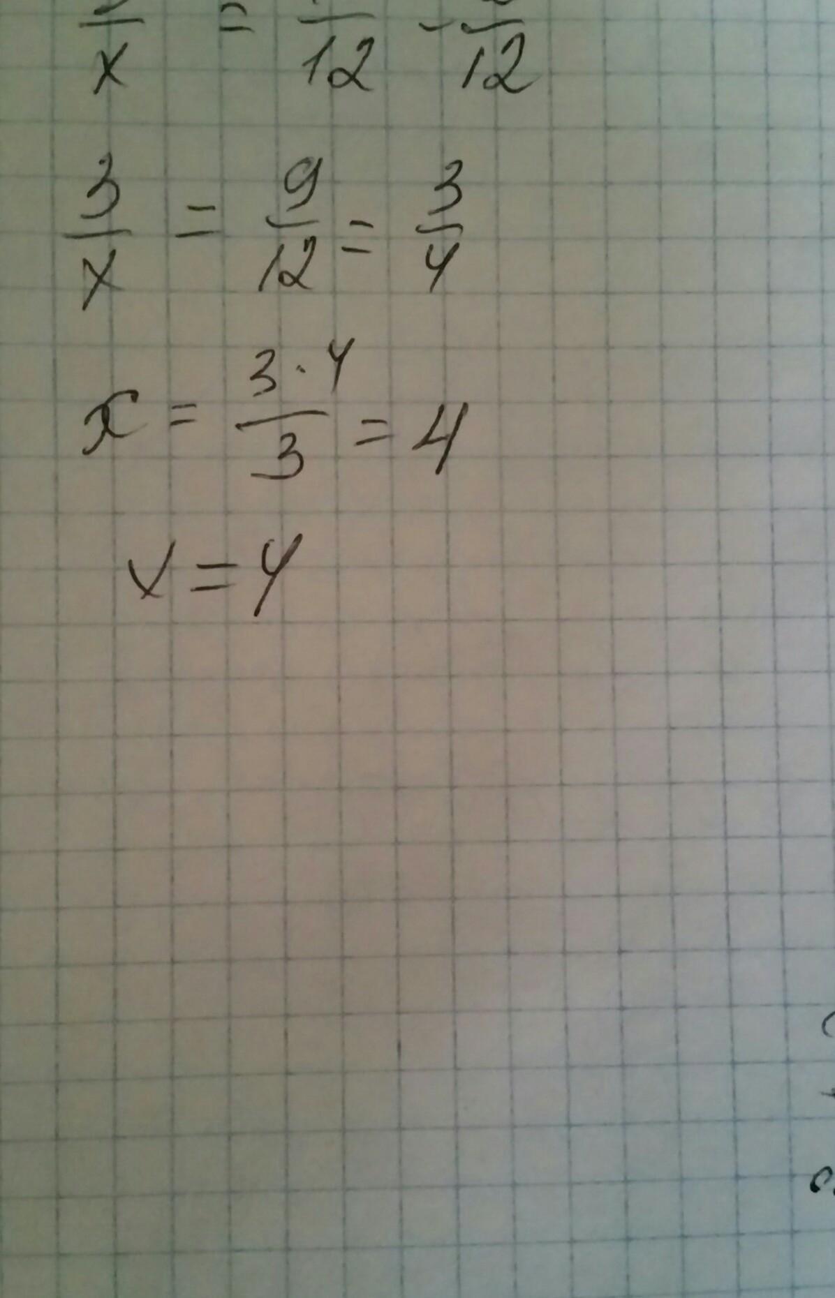
3/х = 11/12 - 2/12 найдите х пожалуйста срочно
Ответы
Автор ответа:
1
ответ смотри на фотографии
Приложения:
Похожие вопросы
Предмет: Русский язык,
автор: Джульетта100
Предмет: Русский язык,
автор: avean2000
Предмет: Другие предметы,
автор: максим5454
Предмет: Математика,
автор: милка295
Предмет: Математика,
автор: Аноним