Предмет: Алгебра,
автор: frosser01
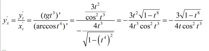
Помогите продифференцировать.
Приложения:
Ответы
Автор ответа:
1
Ответ:
Объяснение:
////////////////////////////////////////////////////////
Приложения:
Похожие вопросы
Предмет: Английский язык,
автор: bulankina72
Предмет: Русский язык,
автор: Kabardinka
Предмет: Русский язык,
автор: nikitachamrin
Предмет: Физика,
автор: Leradanish
Предмет: Литература,
автор: Супергёрл11