Предмет: Математика,
автор: DsJshs
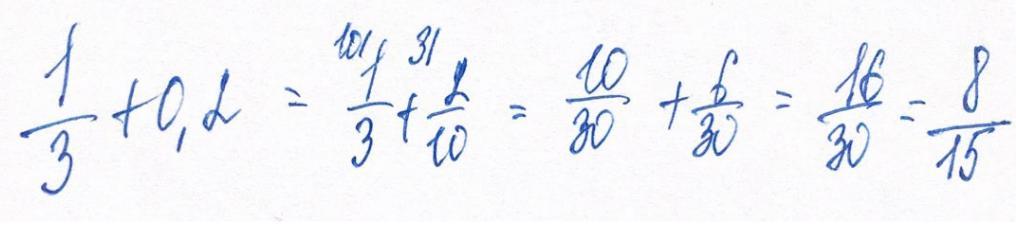
1/3 + 0,2 ответьте пожалуйста срочно
Ответы
Автор ответа:
0
Ответ в приложении к решению
Приложения:
Автор ответа:
1
Ответ:
Пошаговое объяснение:
1/3 + 0,2 = 1/3 + 2/10 = 1/3 + 1/5 = (5+3)/15 = 8/15
Похожие вопросы
Предмет: Русский язык,
автор: nazinur06
Предмет: Русский язык,
автор: islamizraov
Предмет: Русский язык,
автор: CБат
Предмет: Литература,
автор: 22111982
Предмет: Геометрия,
автор: Murkaa06