Предмет: Алгебра,
автор: Аноним
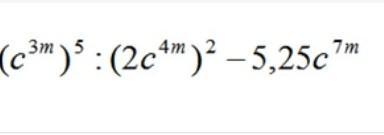
ПОМОГИТЕ ПОЖАЛУЙСТА 7 КЛАСС ПО алгебре
Приложения:
Ответы
Автор ответа:
1
Ответ:
-5с в степени 7m
)))))))
Похожие вопросы
Предмет: Русский язык,
автор: Niki0505
Предмет: Українська мова,
автор: ostapchuksnezhana
Предмет: Русский язык,
автор: akhamzln03
Предмет: Математика,
автор: muratbroow8ijh
Предмет: Химия,
автор: LexaWow