Предмет: Алгебра,
автор: Zharas0
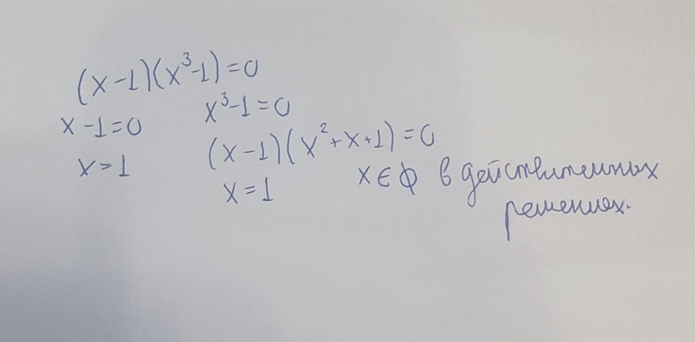
найдите корни многочлена (X-1)(x3-1)
Ответы
Автор ответа:
0
Объяснение:
Решенре на фото.................
Приложения:
Похожие вопросы
Предмет: Английский язык,
автор: evky558
Предмет: Русский язык,
автор: Fergie555
Предмет: Русский язык,
автор: dianazevs
Предмет: Математика,
автор: tantsija
Предмет: Геометрия,
автор: yulyasinitsyna8888