Предмет: Физика,
автор: Dautova012
СРОЧНО. ПОЖАЛУЙСТА
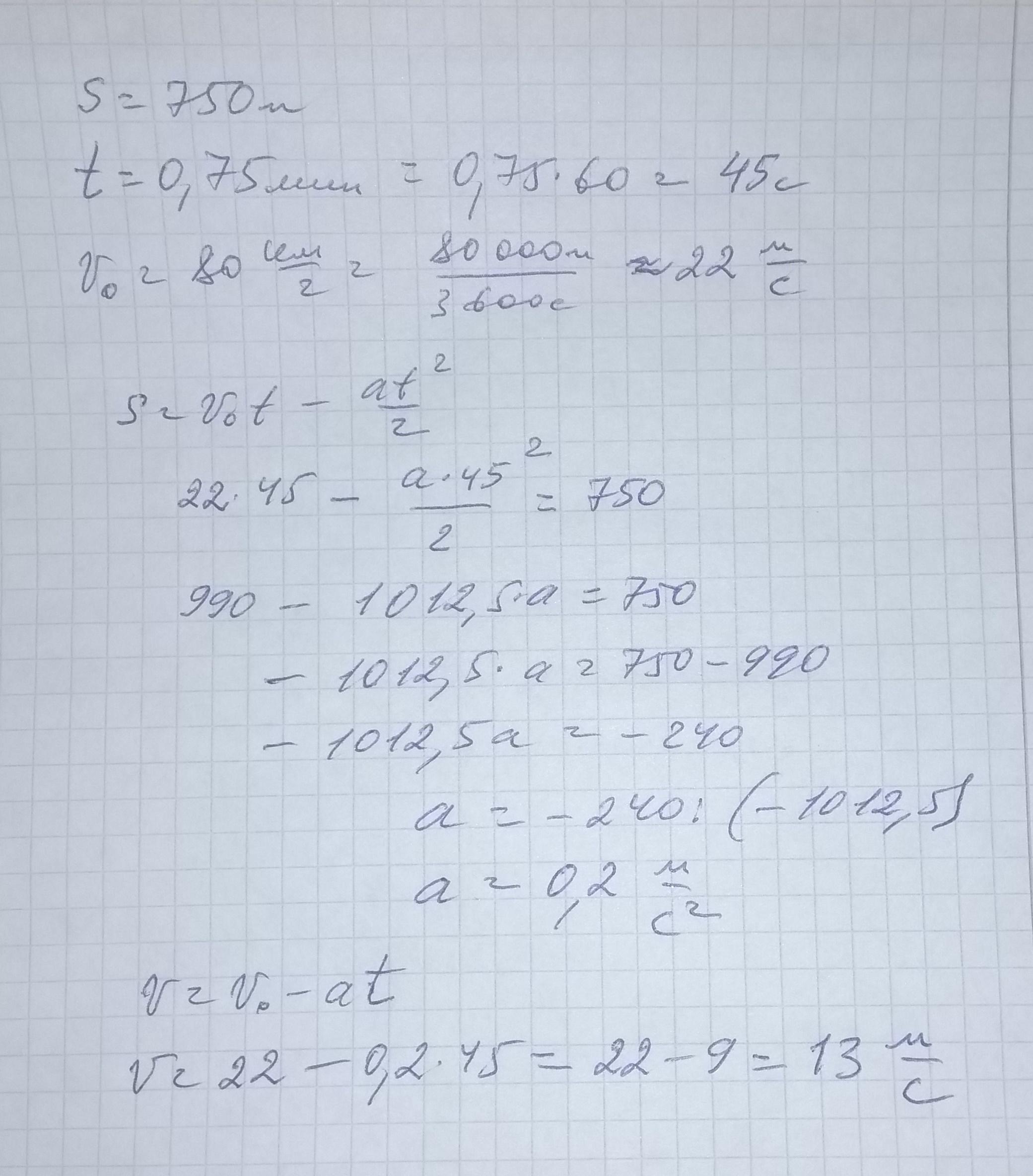
Поезд движется со скоростью 80 км/ч.
При подъеме в гору он движется
равнозамедленно и в течение 0,75 мин
проходит 750 м
Определить скорость поезда в конце
подъема пути и величину ускорения
(замедления).
Ответы
Автор ответа:
1
Ответ:
13м/с, -0,2м/с2
Объяснение:
Приложения:
Похожие вопросы
Предмет: Русский язык,
автор: danyagaliulina
Предмет: Русский язык,
автор: Angela240
Предмет: Русский язык,
автор: il123454321
Предмет: Химия,
автор: smirnova7201
Предмет: Информатика,
автор: Гуманитарий7777