Предмет: Информатика,
автор: kingkilljaden
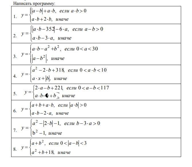
Написать программу на языке C++, через условный оператор if.
Буду благодарен если выполните.
Приложения:
SergeySerg2002:
какой номер
вообще все нужно(
Не успеваю просто выполнять, да и универ такой, Я в основном учил Java, а преподу всё равно и она говорит делать на C++ :/
Ответы
Автор ответа:
0
Ответ:
Номер: 1
#include <iostream>
#include <cmath>
int main()
{
using namespace std;
double a, b;
cin >> a >> b;
auto y = a * b > 0 ? abs(a - b) + a * b : a * b + 2 * b;
cout << y;
return 0;
}
Большое спасибо, но нужно выполнить всё(.
Но думаю это отличный пример и надеюсь смогу выполнить остальные сам.
Но думаю это отличный пример и надеюсь смогу выполнить остальные сам.
Похожие вопросы
Предмет: Русский язык,
автор: dopstoevskiy
Предмет: Английский язык,
автор: 12345678910ler
Предмет: Русский язык,
автор: Аноним
Предмет: Математика,
автор: мозг273
Предмет: Алгебра,
автор: usmanov2015ow6gxi