Предмет: Алгебра, автор: senk84

Задание 3 (30 баллов).

Выполните действия:

Задание 4 (30 баллов).

Докажите, что при всех допустимых значениях переменных значение выражения не зависит от значения переменных:

Приложения:

Ответы

Автор ответа: sangers1959
27

Ответ:

Объяснение:

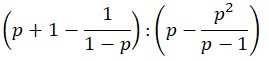
3.

(p+1-\frac{1}{1-p} ):(p-\frac{p^2}{p-1} )=\frac{(1+p)*(1-p)-1}{1-p}:\frac{p*(p-1)-p^2}{p-1}=\\  =\frac{1-p^2-1}{1-p} :\frac{p^2-p-p^2}{p-1}=\frac{-p^2}{1-p}:\frac{-p}{p-1}=\frac{-p^2}{1-p}*\frac{p-1}{-p} =\frac{-p^2}{1-p}*\frac{1-p}{p} =-p.

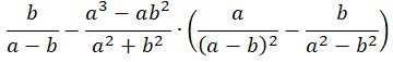
4.

\frac{b}{a-b} -\frac{a^3-ab^2}{a^2+b^2}*(\frac{a}{(a-b)^2}-\frac{b}{a^2-b^2} )

1) Упростим выражение в скобках:

\frac{a}{(a-b)^2} -\frac{b}{a^2-b^2} =\frac{a}{(a-b)^2} -\frac{b}{(a-b)*(a+b)}=\frac{a*(a+b)-b*(a-b)}{(a-b)^2*(a+b)} =\\=\frac{a^2+ab-ab+b^2}{(a-b)^2*(a+b)}  =\frac{a^2+b^2}{(a-b)^2*(a+b)}.

2)

\frac{a^3-ab^2}{a^2+b^2} *\frac{a^2+b^2}{(a-b)^2*(a+b)}=\frac{a*(a^2-b^2)}{a^2+b^2} *\frac{a^2+b^2}{(a-b)^2*(a+b)}=\\=\frac{a*(a-b)*(a+b)}{a^2+b^2} *\frac{a^2+b^2}{(a-b)^2*(a+b)}=\frac{a}{a-b}.

3)

\frac{b}{a-b}-\frac{a}{a-b} =\frac{b-a}{a-b}=-\frac{a-b}{a-b}=-1.


senk84: Я Вас обожаю СПАСИБО!!!!
sangers1959: Удачи.
89252602111: а в 4 точно всё надо переписывать
iradubrovina06: удачи всем, кто видит этот комментарий !
Похожие вопросы
Предмет: Қазақ тiлi, автор: zamiraaltynbek