Предмет: Математика, автор: Landyplay123

Помогите пж даю много баллов, сделать надо все, где есть варианты можно без решения ​

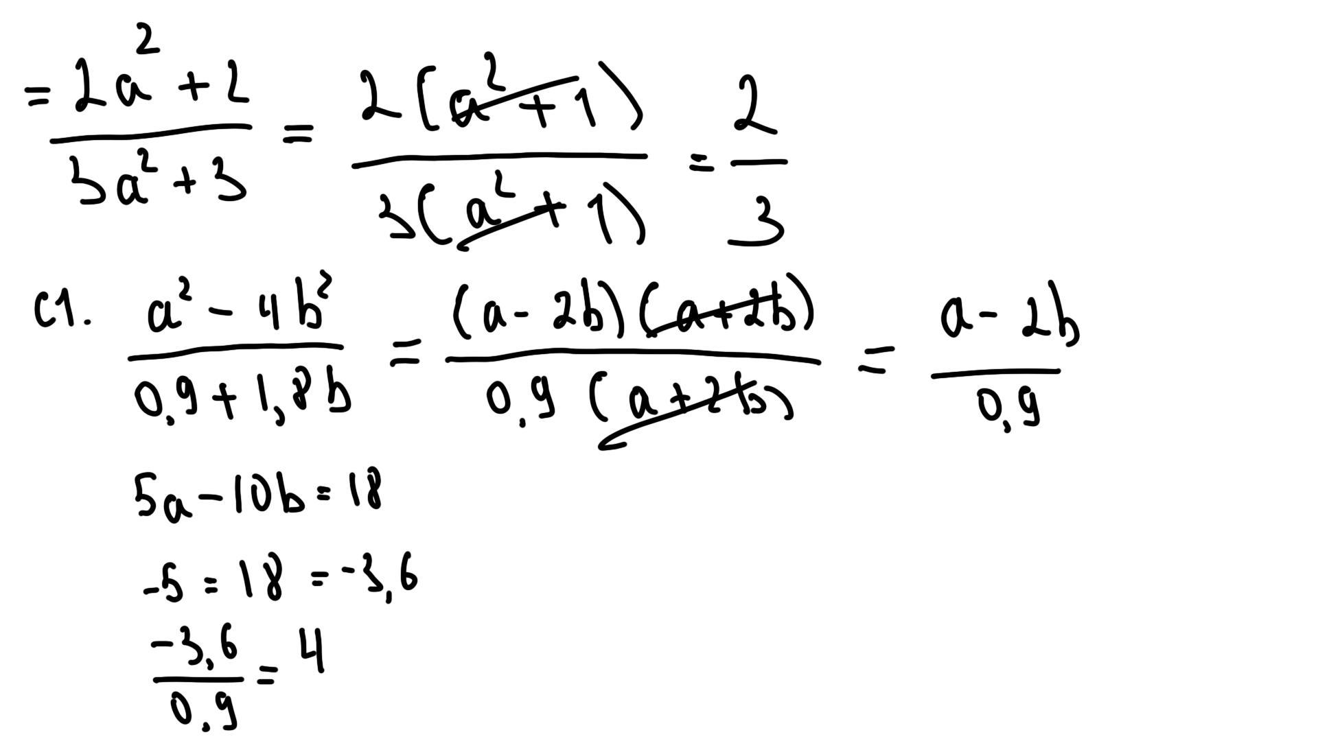
Приложения:

jtkernifesta: Ты че серьезно, это на 2 минуты задание
Landyplay123: дело не в этом, я просто не умею это решать, раз всего 2 минуты так помоги
jtkernifesta: Погоди немного, я сейчас сделаю в письменным ответом. (развернутым, для списывания)
Landyplay123: Спасибо))))
Landyplay123: ок, время есть

Ответы

Автор ответа: jtkernifesta
1

Ответ:

Вот тебе ответы, кроме B1

Пошаговое объяснение:

B1 - не сделал, потому что забыл как делать, загуглишь сам короче ( там надо сложить степени, сократить, перемножить )

и да я отошел в туалет, когда это делал, сорри что долго

Приложения:

Landyplay123: ничего))) большое спасибо что помог, этого хватит
Автор ответа: mmkhitaryan07
0

Ответ:

вот это ответ

я всё решил

Приложения:
Похожие вопросы
Предмет: Українська мова, автор: zinchenkovale
Поставте розділові знаки.
Вартість усіх видів послуг пов'язаних з участю у виставці подається Організатором в умовних одиницях. Експортер без узгодження з Організатором не має права залучити до виконання робіт що виходять у перелік додаткових послуг, інших осіб крім уповноважених на це організатором. Згідно з постановою адміністрації міста малозабезпеченим надаватиметься допомога. Заняття видами підприємницької діяльності щодо яких є спеціальна заборона крім випадків передбачених цим Кодексом карається штрафом від ста до трьохсот мінімальних розмірів заробітної плати з позбавленням права обіймати певні посади або займатися певною діяльністю строком до трьох років та з конфіскацією майна чи без такої. Більшість промовців припускаються подвійної хиби по-перше не посилюють голос а по-друге говорять навіть тоді коли пишуть на дошці тобто відвернувшись від слухачів. Отже більшість знань нам опосередковано передали люди які були або є фахівцями у тій чи іншій галузі знань. Котлер стверджував маркетинг є описовою наукою яка займається вивченням того як з'являються стимулюються здійснюються і розвиваються угоди. Пам'ятаючи афоризм Лафонтена не варто бігти слід іти в такт з часом треба розуміти що час у який ми живемо це час змін час коли економіка повинна вміло компетентно і відповідально підготуватись до виклику майбутнього.
Предмет: Другие предметы, автор: брайдел