Предмет: Алгебра, автор: zamakaevermek

ДАЮ 30 БАЛЛОВ СРОЧНО ПОМОГИТЕ ПОЖАЛУЙСТА!!!!!!!!​

Приложения:

Ответы

Автор ответа: NNNLLL54
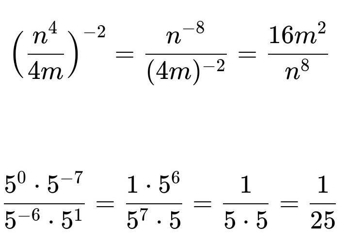
1

\Big(\dfrac{n^4}{4m}\Big)^{-2}=\dfrac{n^{-8}}{(4m)^{-2}}=\dfrac{16m^2}{n^8}\\\\\\\dfrac{5^0\cdot 5^{-7}}{5^{-6}\cdot 5^1}=\dfrac{1\cdot 5^6}{5^7\cdot 5}=\dfrac{1}{5\cdot 5} =\dfrac{1}{25}


zamakaevermek: а это правильно?
NNNLLL54: а как ты думаешь?
Автор ответа: alikhansatybaldiev20
0

Объяснение:

ПОДПИШИСЬ НА МЕНЯ?!?!?!?!?!

Приложения:
Похожие вопросы
Предмет: Русский язык, автор: 2000Игорь23школа
Предмет: Английский язык, автор: Nastia1007
Тема: Настоящее (простое) время

(ThePresentSimpleTense)

1.Что является показателем инфинитива глагола в английском языке?
2.Когда употребляется PresentSimpleTense?
3.Дайте формулу образования утвердительной формы PresentSimpleTense для всех лиц (кроме 3-го лица единственного числа) ?
4.Дайте формулу образования утвердительной формы PresentSimpleTense 3-го лица единственного числа?
5.Какой требуется вспомогательный глагол для образования вопросительной формы PresentSimpleTense?
6.Переводится ли вспомогательный глаголdo (does) на русский язык?
7.Какое место относительно подлежащего занимает вспомогательный глагол в вопросительном предложении?
8.В какой форме стоит смысловой глагол в 3-м лице единственного числа в вопросительном предложении?
9.Есть ли у смыслового глагола в 3-м лице единственного числа в вопросительном предложении окончание -s-?
10.Какое место в отрицательном предложении занимает вспомогательный глагол do или does?
11.Какое место в отрицательном предложении занимает отрицание not?
12.По каким признакам можно определитьв предложении глагол в PresentSimpleTense?
Предмет: Математика, автор: френки13