Предмет: Математика,
автор: Гуля551
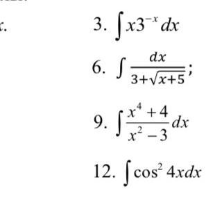
Помогите пожалуйста с математикой! Найти данные неопределённые интегралы
Приложения:
Ответы
Автор ответа:
2
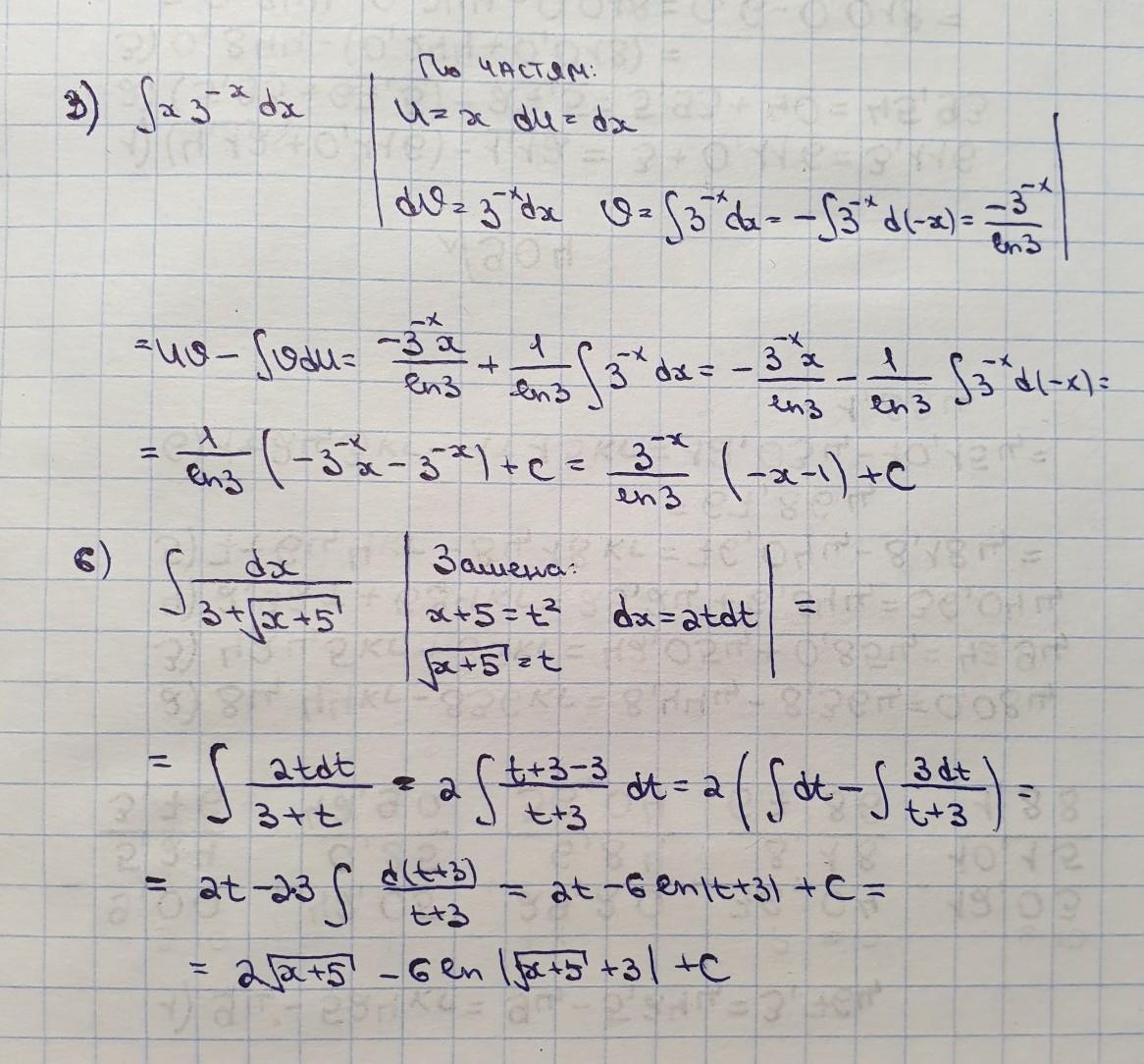
Ответ:
решение на фотографиях
Приложения:
Гуля551:
Что такое du?
или это dy
Похожие вопросы
Предмет: Русский язык,
автор: 285gh
Предмет: Другие предметы,
автор: лизуффкин
Предмет: Другие предметы,
автор: hairulindenis1999
Предмет: Литература,
автор: dennnnnnnnnnnnn
Предмет: Алгебра,
автор: tosweet