Предмет: Алгебра,
автор: eugenijmarchenko
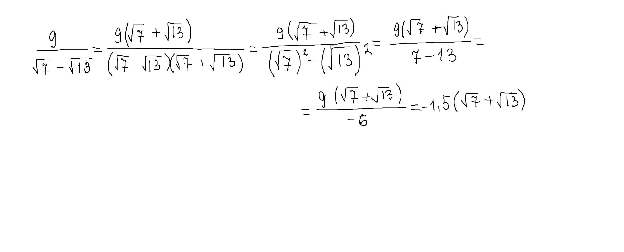
освободитесь от иррациональности в знаменателе дроби: 9 /√7-√13
Ответы
Автор ответа:
1
Ответ: 9*(√7+√13)/(7-13)=-1,5*(√7+√13).
Объяснение:
Автор ответа:
1
Ответ:
Объяснение:
решение внизу
Приложения:
Похожие вопросы
Предмет: Другие предметы,
автор: Аноним
Предмет: Русский язык,
автор: 7964
Предмет: Русский язык,
автор: ALEXEIIII
Предмет: Химия,
автор: настя1029595848