Предмет: Математика,
автор: shcherbakovaolesya10
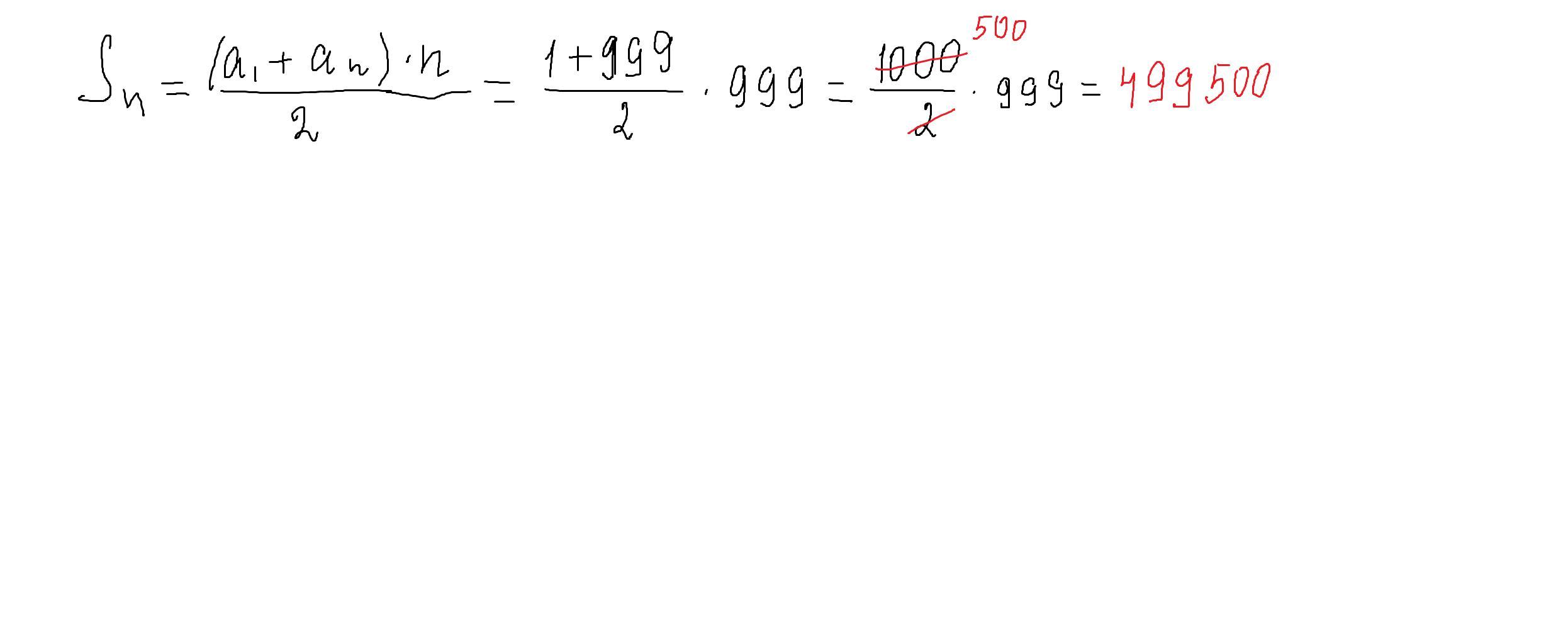
чему равна сумма 1+2+3+4+5+6+7...+997+998+999 с решением
даю 15 балов
parus77:
1+2+3+4+5+6+7...+997+998+999=(1+999)+(2+998)+(3+997)+....+(499+501)+500=1000+1000+1000+...+1000+500=1000*499+500=499500
Ответы
Автор ответа:
1
Ответ:
499500
Пошаговое объяснение:
1+2+3+4+5+6+7...+997+998+999=(1+999)+(2+998)+(3+997)+....+(499+501)+500=1000+1000+1000+...+1000+500=1000*499+500=499500
а если вы уже прошли арифметическую прогрессию,то тогда решение внизу
Приложения:
Похожие вопросы
Предмет: Другие предметы,
автор: islamovakamill
Предмет: Русский язык,
автор: наnastuk
Предмет: Английский язык,
автор: baxaobidov
Предмет: Математика,
автор: gigantpolovoiq
Предмет: Биология,
автор: Милена793