Предмет: Математика,
автор: bidipe2733
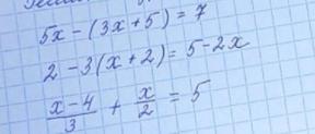
Помогите решить уравнение
ОТВЕТ В ФОТО!!!
Приложения:
LucifeR931:
Скажешь потом правильно или нет
Ответы
Автор ответа:
1
Держи
Вродь так 1 и 2 точно а 3 не уверен но вроде правильно
Вродь так 1 и 2 точно а 3 не уверен но вроде правильно
Приложения:
СПАСИБО!!!!
Угу)
Похожие вопросы
Предмет: Русский язык,
автор: cobelevapolina
Предмет: Русский язык,
автор: Карина2222
Предмет: Русский язык,
автор: спук
Предмет: Математика,
автор: милана5510
Предмет: Алгебра,
автор: SashaMasssa