Предмет: Алгебра,
автор: kniga00
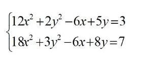
помогите пожалуйста. дам 47 баллов
Приложения:
Ответы
Автор ответа:
1
Ответ:
Объяснение:
.........................................................................
Приложения:
Автор ответа:
3
Объяснение:
Решенре на фотографии............
Приложения:
Похожие вопросы
Предмет: Другие предметы,
автор: animkrtchyan1
Предмет: Русский язык,
автор: Жангузель
Предмет: Английский язык,
автор: amina0503
Предмет: Математика,
автор: Miha520