Предмет: Алгебра,
автор: Аноним
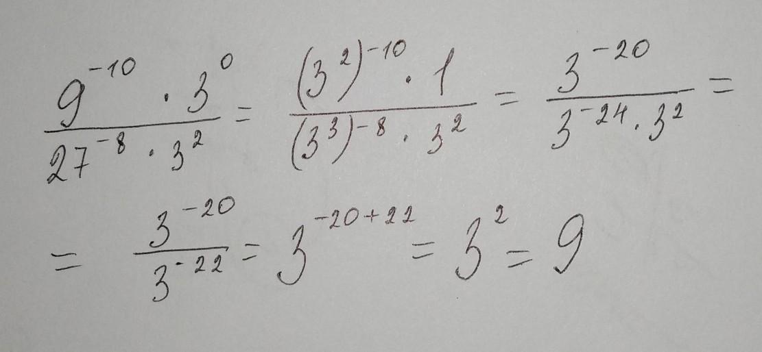
Задание3
Вычислите значенне выраження
9^-10×3^0
27^-8×3^2
Приложения:
Ответы
Автор ответа:
13
Ответ:
Смотри решение на фото
Объяснение:
Надеюсь на лучший ответ
Приложения:
gggarbakov:
точно
ты святой
Похожие вопросы
Предмет: Русский язык,
автор: Grimm2
Предмет: Қазақ тiлi,
автор: Аноним
Предмет: Қазақ тiлi,
автор: kamillamm95
Предмет: Биология,
автор: obezynka05
Предмет: Математика,
автор: porororororo