Предмет: Алгебра,
автор: skaupem
Ответы
Автор ответа:
0
Ответ:
Смотри решение на фото
Объяснение:
Надеюсь на лучший ответ
Приложения:
Автор ответа:
0
Ответ:
Объяснение:
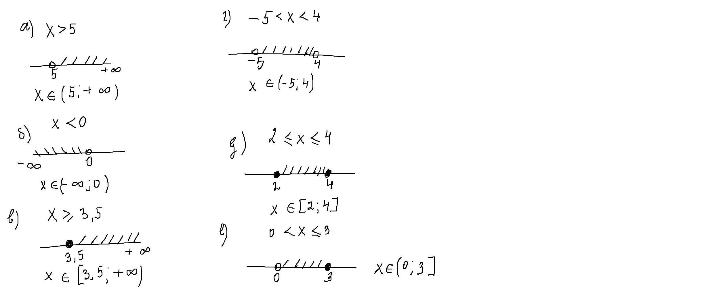
рисунок смотри внизу.когда неравенство строгое( < >)то скобки круглые и точки не закрашены,там "прокол".,а если не строгое(≤ ≥) то скобки квадратные и точка закрашена.Где знак бесконечность(±∞) скобка всегда круглая.
Приложения:
Похожие вопросы
Предмет: Русский язык,
автор: alisa72
Предмет: Другие предметы,
автор: ДавидАйвазов
Предмет: Другие предметы,
автор: NastyaNaydenkov
Предмет: Математика,
автор: кткаркит
Предмет: Алгебра,
автор: galeeva1galeeva