Предмет: Алгебра,
автор: Artempodlivakhin
Решите пожалуйста все что отмечено галочкой. Срочно(2.10 тоже)
Приложения:
Ответы
Автор ответа:
1
Ответ:
С.2.7.
1)8
2)5
3)10
4) 90
5)0,1
6)0,12
С.2.8.
1) не имеет
2)не имеет
3)имеет
4) не имеет
5)не имеет
6)не имеет
С.2.9.
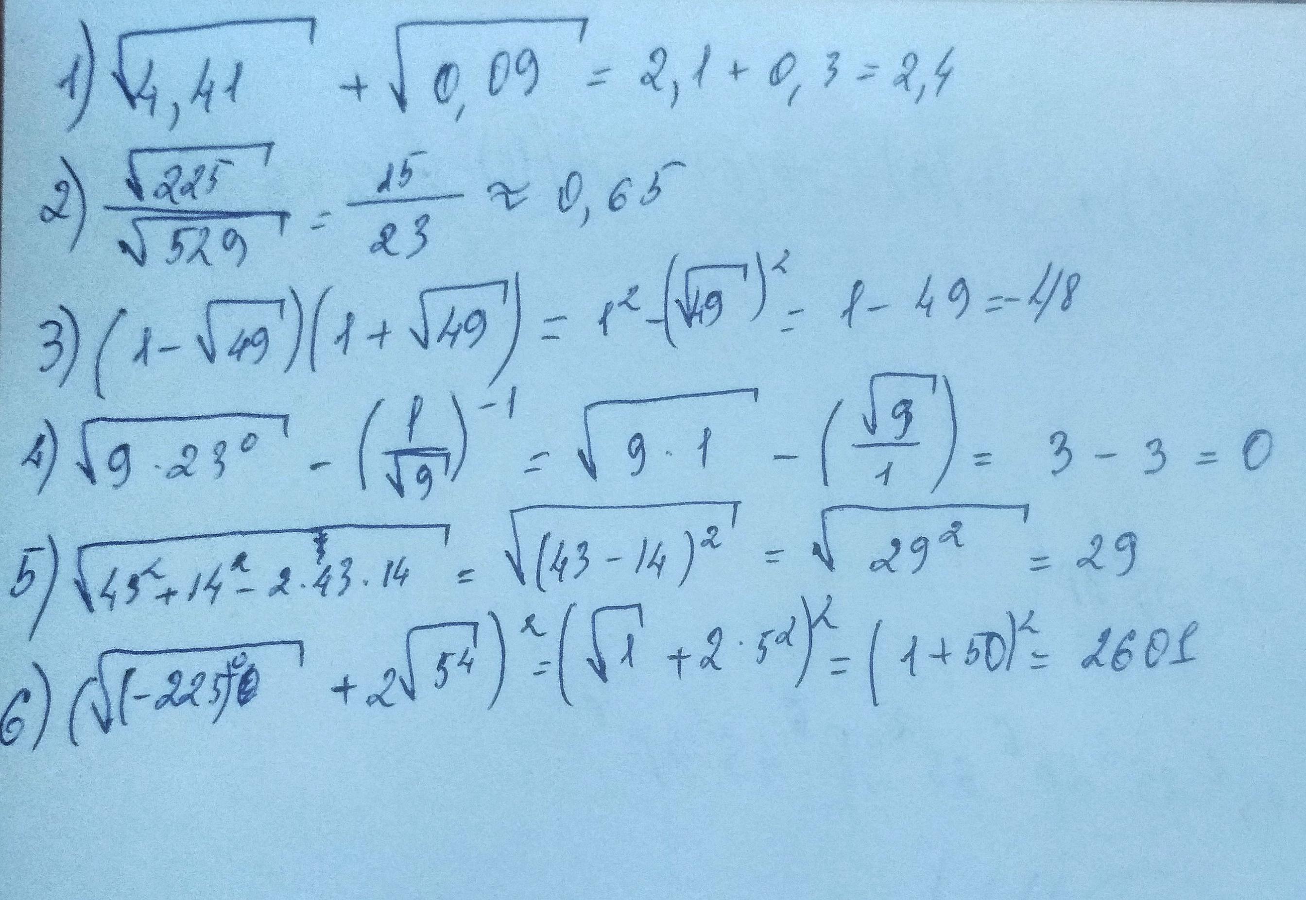
1)2,4
2)0,65
3)-48
4)0
5)29
6)2601
Объяснение:
С.2.9.
Приложения:
Artempodlivakhin:
Можно пожалуйста 2.9 не только ответы но и решение
Хорошо.
Спасибо
Похожие вопросы
Предмет: Русский язык,
автор: aisik200
Предмет: Русский язык,
автор: mnsas
Предмет: Другие предметы,
автор: дашаабрамкина
Предмет: Математика,
автор: иарирль
Предмет: Литература,
автор: grustnayadevochka