Предмет: Алгебра,
автор: Аноним
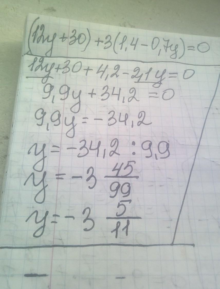
Решить уравнение (12у+30)+3(1.4-0.7у)=0
Ответы
Автор ответа:
0
Ответ:
y=2.5 или y=2
Объяснение:
12 у+30=0 или 1,4-0,7 у=0
12 у=-30 или - 0,7 у=-1,4
у=-2,5 или у=2
Автор ответа:
0
Ответ:
решение на фотографиий
Приложения:
Похожие вопросы
Предмет: Русский язык,
автор: andron25347
Предмет: Английский язык,
автор: dnievaelina
Предмет: Русский язык,
автор: плоовлчлвосоаосгаоао
Предмет: Алгебра,
автор: Azaliya71
Предмет: Математика,
автор: ЭдуардФАДЕЕВ