Предмет: Алгебра, автор: Polovets

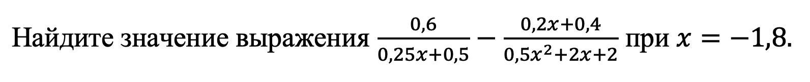
Найдите значение выражения

Приложения:

Ответы

Автор ответа: daraprelj
0

Ответ:

10

Объяснение:

0,5x²+2x+2 = 0

D = 2²-4*0,5*2 = 4-4 = 0

x = -b/2a

x= -2/2*0,5 = -2/1 = -2

0,5x²+2x+2 = 0,5*(x+2)²

 \frac{0.6}{0.25x + 0.5}  -  \frac{0.2x + 0.4}{0.5 {x}^{2}  + 2x + 2}  =

  = \frac{0.6}{0.25(x + 2)}  -  \frac{0.2(x + 2)}{0.5 \times  {(x + 2)}^{2} }  =

= \frac{0.6}{0.25(x + 2)}  -  \frac{0.2}{0.5 \times  (x + 2) }  =

  = \frac{0.6 \times 2 - 0.2}{0.5(x + 2)}  =  \frac{1}{0.5(x + 2)}  =

 = \frac{1}{0.5}  \times  \frac{1}{x  + 2}  =  \frac{2}{x + 2}

Подставим значение х = -1,8

 \frac{2}{ - 1.8 + 2}  =  \frac{2}{0.2}  =  \frac{20}{2}  = 10

Автор ответа: sangers1959
0

Объяснение:

\frac{0,6}{0,25x+0,5} -\frac{0,2x+0,4}{0,5x+2x+2} =\frac{0,6*4}{(0,25x+0,5)*4} -\frac{(0,2x+0,4)*2}{(0,5x+2x+2)*2} =\frac{2,4}{x+2}-\frac{0,4x+0,8}{x^2+4x+4}=\\  =\frac{2,4}{x+2}-\frac{0,4x+0,8}{(x+2)^2}=\frac{2,4*(x+2)-0,4x-0,8}{(x+2)^2}=\frac{2,4x+4,8-0,4x-0,8}{(x+2)^2}=\frac{2x+4}{(x+2)^2}= \frac{2*(x+2)}{(x+2)^2}=\frac{2}{x+2}  =\frac{2}{-1,8+2}=\frac{2}{0,2}=10.

Похожие вопросы
Предмет: Русский язык, автор: Елена8111
Предмет: Қазақ тiлi, автор: FrostNIce02
Предмет: Алгебра, автор: lilipoppo