Предмет: Алгебра, автор: gridin3

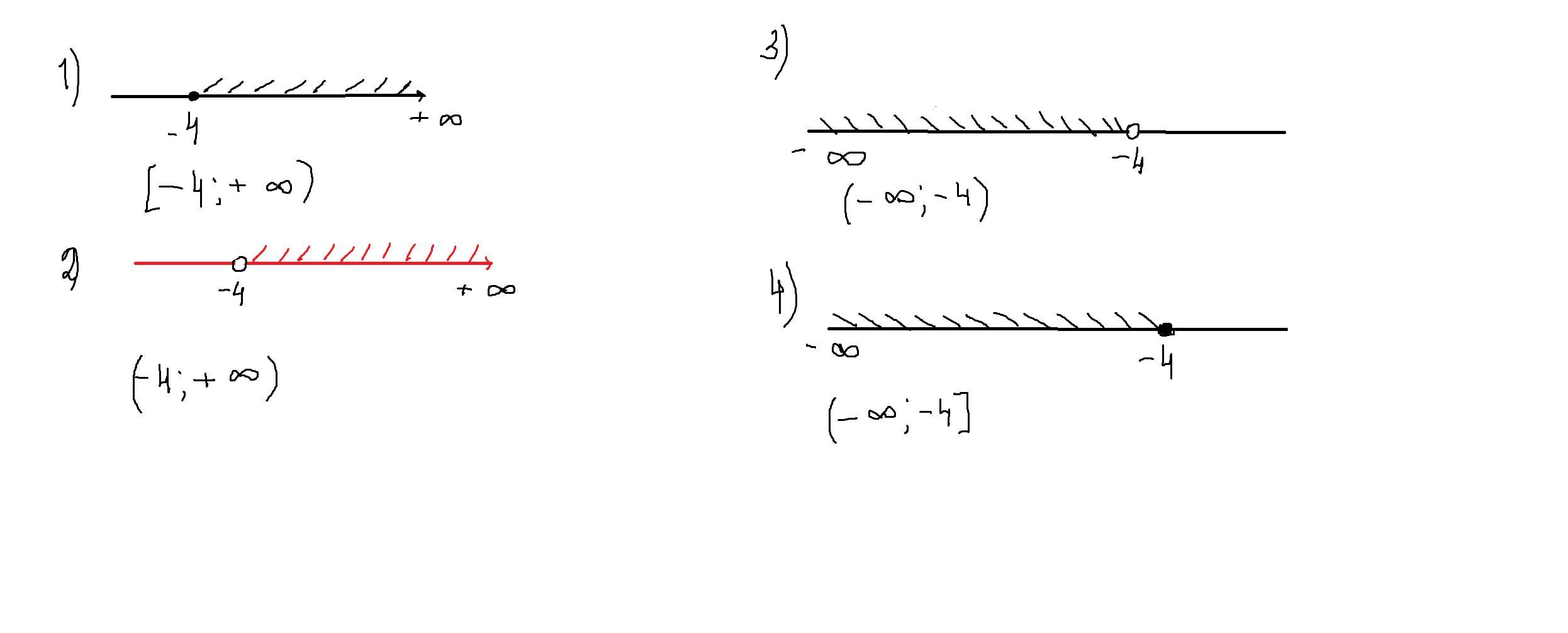
Изобразите на координатной прямой промежуток. Помогите пожалуйста

Приложения:

Ответы

Автор ответа: halsey55
0

То есть, смотри

Кароч, КВАДРАТНАЯ СКОБКА будет тогда когда в знаке есть равно(то есть БОЛЬШЕ РАВНО>=, МЕНЬШЕ РАВНО(<=) а значит на прямой, точка будет ЧЁРНОЙж

- и + бесконечности всегда КРУГЛАЯ СКОБКА

Если же КРУГЛА СКОБКА, ТО ТОГДА НА ПРЯМОЙ ТОЧКУ ВНДО ОТМЕТИТЬ БЕЛЫМ(ЛИБО НАРИСОВАТЬ МАЛЕНЬКИЙ Круг) (значит знак будет либо меньше, либо больше)

Если знак меньше или меньше равно, то отмечаешь стрелки влево

Если же знак больше, больше равно, то отмечаешь строки вправо

Надеюсь понял(а)

Автор ответа: parus77
0

Ответ:

Объяснение:

если скобка квадратная [-4 то точка закрашена,она входит в этот промежуток.

если скобка круглая( -4 то точка не закрашена,там "дырка",и она не входит в промежуток.

где знак ±∞ скобка всегда круглая (-∞;+∞)

Приложения:
Похожие вопросы
Предмет: Қазақ тiлi, автор: Аноним
помогите перевисти прошу вас на русский
Бұрын, бұрын бұрында Қаңбақ шал деген шал болыпты. Мал мен басқа зар болыпты. Кедейліктен шықпапты. Ол ау салып, балық аулап, тамақ асырапты. Жел соқса, шал домалап жөнеледі екен. Содан соң оған Қаңбақ шал деген ат қойылыпты. Күн сайын ауына ілінген екі балығының біреуін бір түлкі әлімжеттік қып тартып жей береді екен. Түлкінің қорлығына шыдамай, шал бір күні екінші бір жерге көшем деп, дүние мүлкін арқалап жолға шығыпты. Шаршаған соң оны бір жерге көміп кетіпті, бір жерге елдің сойған малынан жинап алған ішек қарнын көміп кетіпті, бір жерге қарындағы айранды көміп кетіпті .Жүктің салмағымен Қаңбақ шал ұшып кетпей келеді. Жүктен арылған соң, желмен ұшып, бір жерге ұшып түсіпті. Қараса, бір дәу екі тауды біріне – бірі шақпақ қылып, ұрып тұр екен.
Дәу:
- Қайда бара жатқан шалсың? Кел екеуміз күш сынасайық – деп қазандай бір қара тасты көтеріп, аспанға лақтырып жібереді де қайта қағып алып: Ал шал, сен де осылай қақпаққыл етші дейді.
Шал сасып, қайтерін білмей, тасты құшақтап аспанға бір, тасқа бір қарап, күнімен тұрады.
Сонда дәу:
- Е, неғып тұрсың. ЛАҚТЫР – дейді.
Шал тұрып:
- Аспанға лақтырсам, аспан жерге айналып түседі ау деп, жерге қақпай түсірсем, жер ортасынан ойылып түсе ме деп қауіп қылып тұрмын дейді.
Сонда дәу келіп, шалдың қолынан ұстай алады да:
- Ақсақал лақтырмай ақ қой, текке қырыламыз - деп жалынып қойғызады.
Дәудің ақылы таяздығын біліп шал ерленіп, дәуге:
- Кел жердің ішек қарнын шығарйық - дейді.
Дәу жүгіріп келіп, жерді теуіп қалады. Жер тізеден ойылады. Ештеңе шықпайды. Шал өзі бұрын көміп қойған, қаны - жыны арылмаған ішек қарын жатқан жерді жүгіріп барып, теуіп қалса, ішек қарын шығады. Дәу қорқады:
Сосын шал:
- Кел енді жердің миын шығарайық, - дейді.
Дәу бар пәрменімен келіп, жерді теуіп қалады. Жер тағы да тізеден ойылады .Ештеңе шықпайды. Шал манағы айранын көміп кеткен жерді жүгіріп барып теуіп қалса, бырқ етіп айран шыға келеді. Дәу одан бетер қорқады. Мына шал не деген орасан күшті деп, шалдың айтқанын істей береді. Ақыры шал онан қалай құтыларын білмей:
- Енді қайт. Ертең бізге қонаққа кел, - дейді.
Дәу:
Жарайды деп – кетіп қалады.
Шал үйіне келіп, кемпіріне:
- Ертең дәу қонаққа келеді, - дегенде:
- Ойбай, немізді береміз - деп сасады кемпір.
Шал тұрып:
- Ертең дәу келеді. Мен есіктің алдында отырармын. Сонда сен оның көзінше. Не істеймін шал, - деп маған қара, мен не десем, соны істемекші болып, пышақты алып тұра ұмтыл! – деп кемпіріне үйретіп қойады.
Ертеңіне үш дәу келіп, досының үйінде отырады. Сол кезде кемпір тұрып:
- Шал нені асамын үйдегі қонаққа? Түк жоқ деп! - депті.
Сонда шал тұрып:
- Басқы дәудің басын ас, ортаншы дәудің төсін ас, ол жетпесе досым дәудің өзін ас! - дегенде, кемпір пышағын алып тұр ұмтылады. Үш дәу тым тырақай қаша жөнеледі. Досы лашық үйін басымен көтеріп әкетеді. Шал айқайлап:
- Әй, досым, лашығымды тастап кет! Қайда барсаң да құтылмайсын! - дейді. Дәу лашықты тастай сала қашып бара жатса, баяғы әлімжеттік қып балығын тартып жей беретін түлкі жолығады.
- Тақсыр қайдан қашып келесің - дейді түлкі.
- Бір пәле шалдың қырсығынан құтыла алмай қашып келеміз, - дейді.
Түлкі:
- Сол Қаңбақ шалдан қорқып жүрсіңдер ме - менімен жүр, мен сенің өшіңді алып берейін, - деп, дәуді ертіп, шалды іздеп қайта келе жатса, шал лашықтың жанында тұр екен. Түлкінің ертіп келе жатқанын көріп, шал айғай салады:
- Ей, түлкі-ау Арғы атаңда алты атамның құны бар, бергі атаңда бес атамның құны бар, өзіңде бітіспейтін кегім бар, үш дәуді сол үшін бергелі жатырсын ғой! Бәрі бір онымен бітпеймін! - деп дауыстайды.
Сонда дәу қорқып, бұл бізді сол аталарының құнына беруге алдап алып келе жатыр екен ғой, - деп ойлап түлкіні құйрығынан алып жерге бір ұрып өлтіріп, алды-артына қарамастан қаша жөнеледі. Сөйтіп, Қаңбақ шал дәулер мен түлкіден осылай құтылған екен дейді.