Предмет: Математика, автор: dianakpop72

помогите пожалуйста, срочно. очень надо

Приложения:

Ответы

Автор ответа: ertleuaneka041
0

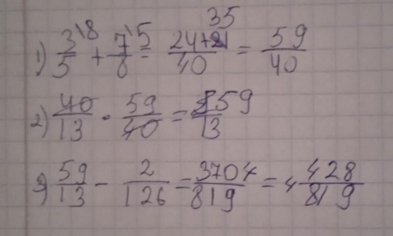
вот фото,там объяснение.

Приложения:

nktselepov: там 1 2/26, не 2/126
ertleuaneka041: а, сорри.
Автор ответа: nktselepov
0

\displaystyle 3\frac{1}{13} \times\bigg(\frac{3}{5} +\frac{7}{8} \bigg)-1\frac{2}{26} =\frac{40}{13} \times\bigg(\frac{3}{5} +\frac{7}{8} \bigg)-\frac{14}{13} =\\\\=\frac{40\times3}{13\times5} +\frac{40\times7}{13\times8}- \frac{14}{13} =\frac{24}{13} +\frac{35}{13} -\frac{14}{13} =\frac{45}{13}= 3\frac{6}{13}

Похожие вопросы
Предмет: Русский язык, автор: YankaKichuk