Предмет: Алгебра, автор: hormier

25 баллов!!! Пожалуйста!!! Напишите подробное решение на листике! Решите выражение с параметром а​

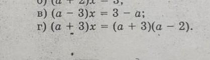
Приложения:

hormier: только в и г

Ответы

Автор ответа: mrskokip1
1

Ответ:

в) (a-3)x=3-a

x=-1

г) (а+3)х=(а+3)(а-3)

x=a-3

Объяснение: В первом выносим минус из скобки, чтобы получились одинаковые знаки и мы могли поделить на общий знаменатель, то есть на a-3, у нас остается единица, но с минусом, который мы вынесли, при это а не должно равняется трём, поскольку значение выражения станет ноль, на который делить нельзя.

Во втором сокращаются скобки с а+3, остается только а-3, которую нельзя никак сократить. Здесь также, аналогично, если а не равно -3, иначе значение выражения - ноль, на который делить нельзя


hormier: спасибо большое!!!!
Автор ответа: LFP
1

Ответ:

в) при а=3, х - любое число (х€R)

при а не= 3, х=-1

г) при а=-3, х - любое число (х€R)

при а не= -3, x = a-2

Объяснение:

в) х = (3-а) / (а-3) = -(a-3) / (a-3)

эта дробь имеет смысл только для а не= 3... потому нужно рассматривать два отдельных случая... а в исходное равенство можно подставить а=3 (там ведь нет деления) и получим 0*х=0 это равенство верно для любых икс

Похожие вопросы
Предмет: Русский язык, автор: svetashishkanov
Предмет: Другие предметы, автор: Tenditnaja