Предмет: Алгебра,
автор: madinakonar2007
решить надо срочнооо.
Приложения:
Ответы
Автор ответа:
1
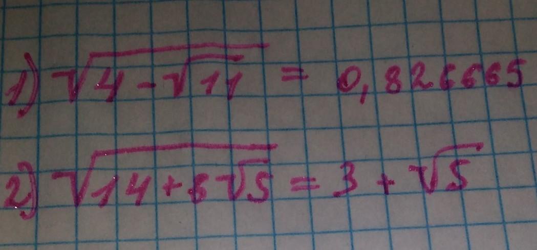
Ответ:
прости если не правильно)))
Приложения:
madinakonar2007:
пр
ты решала сPhitomath
спасибки
можно еще ответов на этот вопрос от других
Похожие вопросы
Предмет: Українська мова,
автор: Аноним
Предмет: Русский язык,
автор: art200597
Предмет: Русский язык,
автор: svetad271
Предмет: Математика,
автор: emelysnovai
Предмет: Литература,
автор: Аноним