Предмет: Математика,
автор: kuram13
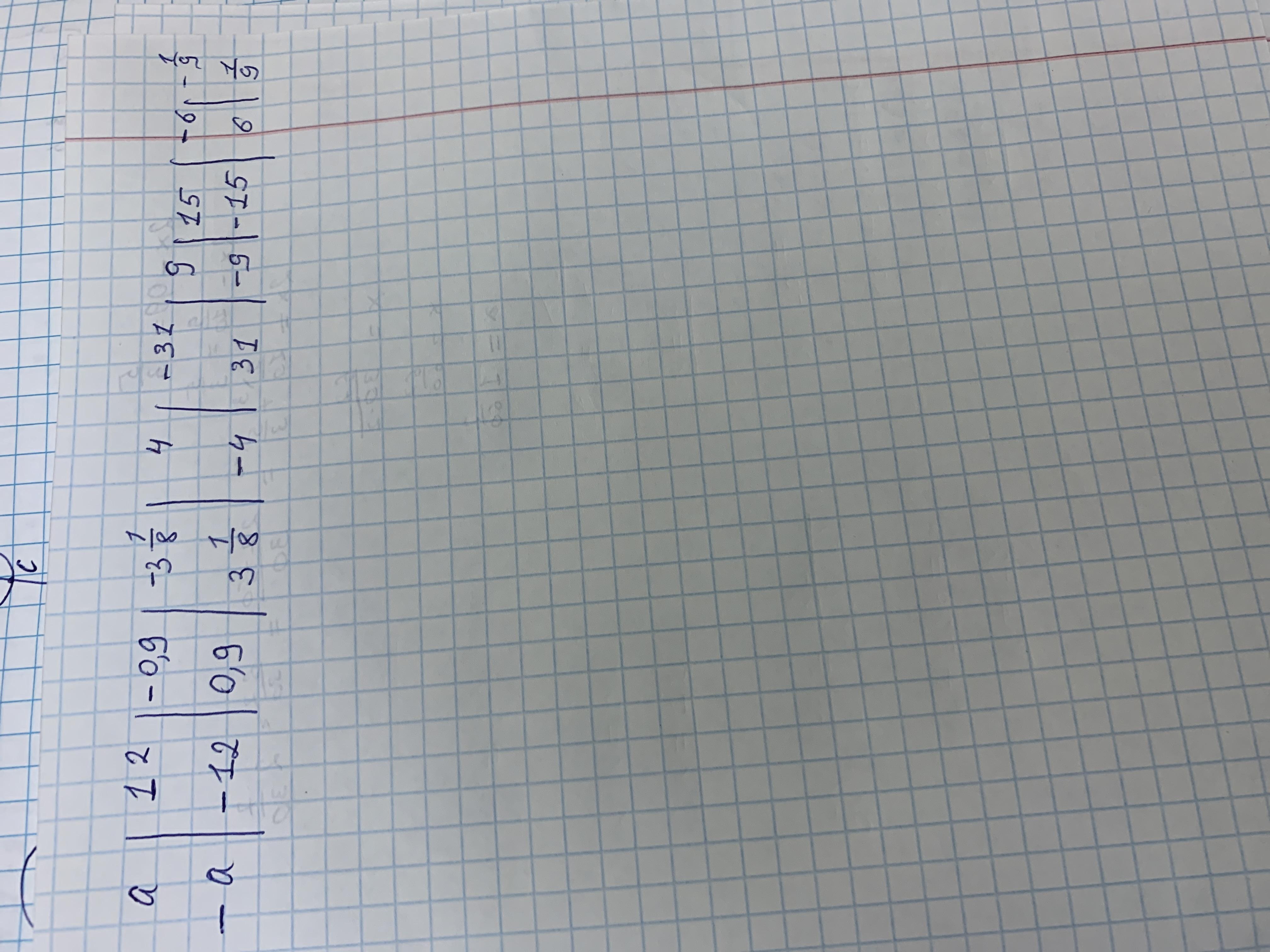
заполните таблицу пожалуйста помогите надо прямо сейчас даю 20 баллов
Приложения:
Ответы
Автор ответа:
1
Ответ:
Пошаговое объяснение:
Приложения:
kuram13:
спасибо огромное
Похожие вопросы
Предмет: Русский язык,
автор: vladgolovan00
Предмет: Другие предметы,
автор: marinayurtaikina
Предмет: Русский язык,
автор: Verun4ek
Предмет: Алгебра,
автор: 444444444488888888