Предмет: Алгебра,
автор: amir4ik796
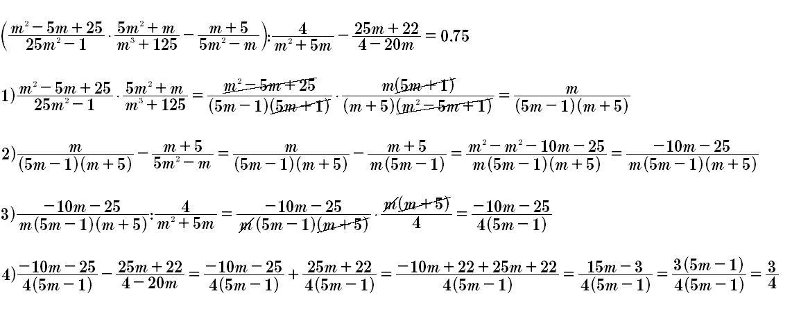
Все на изображении. Прошу, помогите, последние баллы((((
Приложения:
Ответы
Автор ответа:
1
Ответ:
0.75
Объяснение:
....................................................
Приложения:
Похожие вопросы
Предмет: Қазақ тiлi,
автор: vaidibrogimov
Предмет: Русский язык,
автор: bagaevka1
Предмет: Английский язык,
автор: supersabina2003
Предмет: Алгебра,
автор: jungsanaarmy
Предмет: Алгебра,
автор: anka68