Предмет: Математика,
автор: rakhimakenes65
////////////////3333
Приложения:
Ответы
Автор ответа:
1
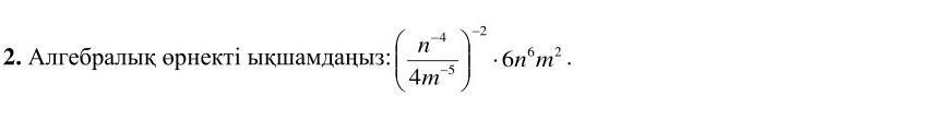
Ответ:
3n¹⁴/2m⁸
Пошаговое объяснение:
n⁸/4m¹⁰×6n⁶m²= n⁸×3n⁶/2m⁸= 3n¹⁴/2m⁸
Похожие вопросы
Предмет: Русский язык,
автор: Maria1718
Предмет: Английский язык,
автор: katyashach
Предмет: Русский язык,
автор: Илюша13
Предмет: Геометрия,
автор: Glbbull
Предмет: Алгебра,
автор: ДИРАКУ