Предмет: Физика,
автор: Аноним
Ответить на вопросы:
1. Что называется электризацией тел? Привести примеры.
2.В каком случаи образуется положительный, а в каком случаи отрицательный заряд?
3. Как звучит закон Кулона? Формула.
4. Что называется напряженностью электрического поля?
5.Приведите примеры электрических явлений в природе.
Ответы
Автор ответа:
7
Ответ:
Электризация тел — процесс перераспределения электрических зарядов, имеющихся в телах, в результате чего тела приобретают заряды противоположных знаков.
2.Заряд, который возникает на стекле при трении его о шелк, условно называют положительным, а заряд, возникающий на эбоните при трении о шерсть, - отрицательным.Носителем отрицательного заряда является электрон, положительного - протон. Нейтрон - нейтральная частица, не имеет
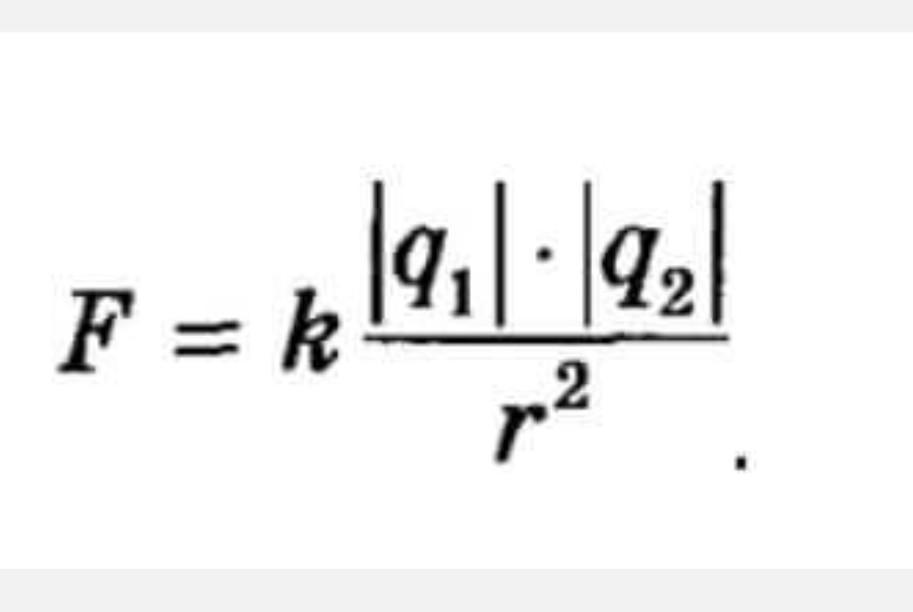
3.Формулировка закона звучит так.
Силы взаимодействия между неподвижными зарядами прямо пропорциональна произведению модулей этих зарядов о также обратно пропорциональна расстоянию в квадрате между этими зарядами.(формула на фото)
Приложения:
kulevaa988:
Напряженностью электрического поля называют физическую величину, равную отношению силы, с которой поле действует на положительный пробный заряд, помещенный в данную точку пространства, к величине этого заряда:
на 5 ответ не знаю
Похожие вопросы
Предмет: Русский язык,
автор: innessa78
Предмет: Беларуская мова,
автор: Виктя149
Предмет: Русский язык,
автор: аззазазаз
Предмет: Алгебра,
автор: ragimfarida
Предмет: Алгебра,
автор: vladik02131