Предмет: Алгебра,
автор: romciktop
Реши уравнение
х/3=15
избавься от знаменателя и оставь в левой части уравнения
Ответы
Автор ответа:
8
Ответ:
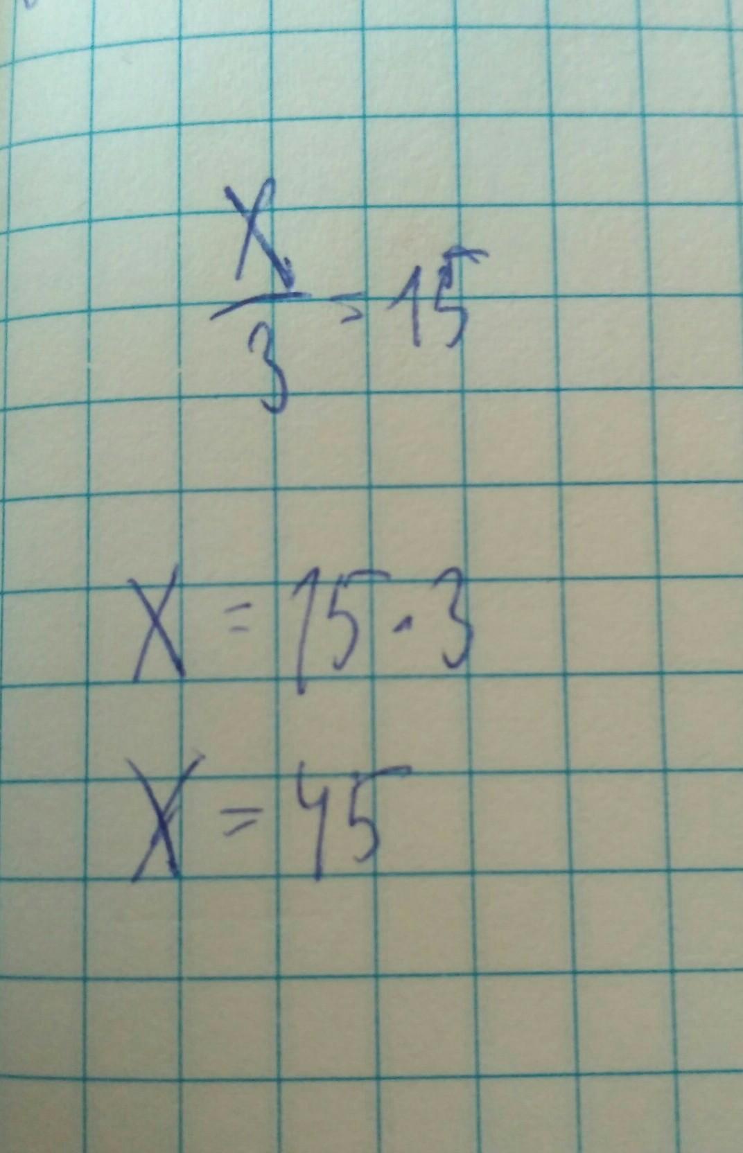
x/3=15
x=15*3
x=45
Вроде так
Приложения:
romciktop:
спасибо большое
Похожие вопросы
Предмет: Английский язык,
автор: nastyanoshina
Предмет: Английский язык,
автор: 87567845
Предмет: Українська мова,
автор: wadka
Предмет: Литература,
автор: ansha105
Предмет: Алгебра,
автор: Аноним