Предмет: Математика,
автор: alimospanov2009
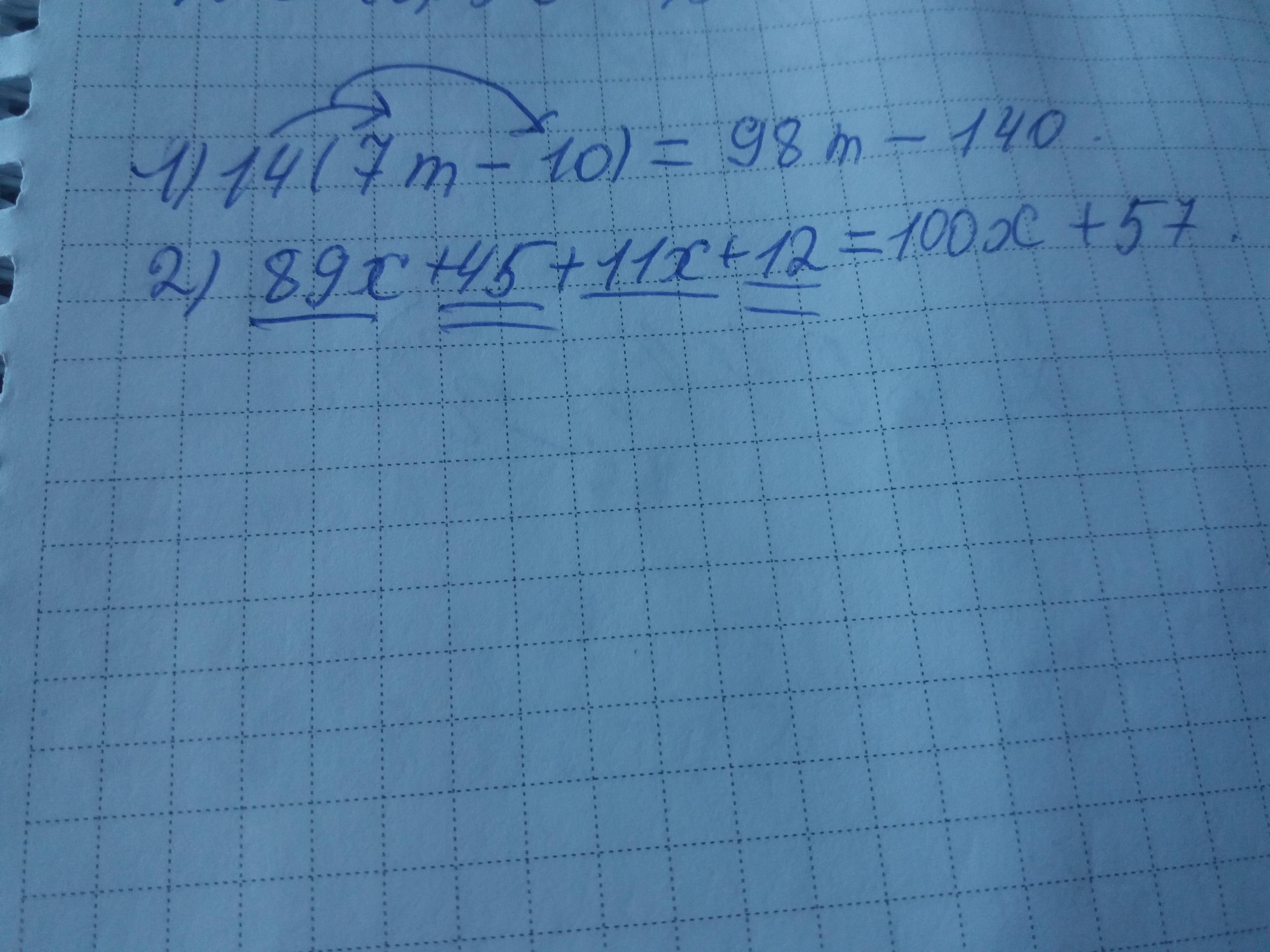
1) 14( 7m - 10)= 2) 89x + 45 +11x + 12=
Ответы
Автор ответа:
0
Автор ответа:
0
Всё решение на фото
Приложения:
Похожие вопросы
Предмет: Другие предметы,
автор: madjahed
Предмет: Русский язык,
автор: tolian2
Предмет: Английский язык,
автор: ykaa
Предмет: Алгебра,
автор: irishka128